Формула Ньютона – Лейбница
Список вопросов теста
Вопрос 1
Продолжите предложение.
С помощью формулы Ньютона-Лейбница вычисляют...

Варианты ответов
- первообразную функции
- площадь криволинейной трапеции
- производную функции
Вопрос 2
Продолжите предложение.
Криволинейная трапеция – это фигура, ограниченная графиком ...

Варианты ответов
- непрерывной на отрезке [a;b] функции f(x)
- непрерывной и не меняющей на отрезке [a;b] знака функции f(x)
- непрерывной и не меняющей на отрезке [a;b] знака функции f(x), прямыми x=a, x=b
- непрерывной и не меняющей на отрезке [a;b] знака функции f(x), прямыми x=a, x=b, отрезком [a;b]
Вопрос 3
На каком рисунке изображена фигура, не являющаяся криволинейной трапецией?


Варианты ответов
- А
- Б
- В
- Г
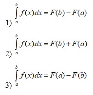
Вопрос 4
Какая из формул является формулой Ньютона - Лейбница?


Варианты ответов
- 1
- 2
- 3
Вопрос 5
Как называют отрезок [a; b]?


Варианты ответов
- Основание криволинейной трапеции
- Отрезок криволинейной трапеции
- Средняя линия криволинейной трапеции
Вопрос 6
По какой формуле можно вычислить площадь криволинейной трапеции?
F (x) - любая первообразная функции f (x).


Варианты ответов
- S = F (b) - F (a)
- S = F (b) + F (a)
- S = F (a) - F (b)
Вопрос 7
Установите соответствие между функцией и её первообразной

1.
А
2.
Б
3.
В
4.
Г
Варианты ответов
- А
- Б
- В
- Г
Вопрос 8
Выберите формулу, для нахождения площади криволинейной трапеции, изображенной на рисунке.


Варианты ответов
- А
- Б
- В
- Г
Вопрос 9
Найдите площадь фигуры, ограниченной линиями
y = sin x, y = 0, x = 0, x = π.


Варианты ответов
- 2
- 4
- 10
- 0
Вопрос 10




