Формула бинома Ньютона
Список вопросов теста
Вопрос 1
Выберите утверждения, которые справедливы для формулы бинома Ньютона.
Варианты ответов
- Степень каждого одночлена, записанного в правой части, равна степени многочлена, записанного в левой части.
- При чтении одночленов слева на право, степень первого слагаемого в них понижается.
- При чтении одночленов слева на право, степень второго слагаемого в них повышается.
- При чтении одночленов слева на право, степень второго слагаемого в них понижается.
- При чтении одночленов слева на право, степень первого слагаемого в них повышается.
- Биномиальные коэффициенты составляют одну из строк треугольника Паскаля.
Вопрос 2
Используя седьмую строку треугольника Паскаля "1 7 21 35 35 21 7 1", получите его восьмую строку. В ответе последовательно укажите числа восьмой строки через пробел и без знаков препинания.
Вопрос 3
Выберите верное утверждение.
Варианты ответов
- Каждое число в треугольнике Паскаля равно сумме двух чисел, стоящих над ним в предыдущей строке.
- Каждое число в треугольнике Паскаля равно разности двух чисел, стоящих над ним в предыдущей строке.
- Каждое число в треугольнике Паскаля равно сумме двух чисел, стоящих под ним в следующей строке.
Вопрос 4
В левом столбце записаны номера строк треугольника Паскаля. В правом - выражения, для которых нужно записать формулу бинома Ньютона.
Какая строка соответствует каждому из выражений для записи биномиальных коэффициентов?
1.
3 строка
2.
12 строка
3.
7 строка
4.
10 строка
Варианты ответов
-
(a+2b)7
-
(3+x)10
-
(-2t-7)12
-
(x+y)3
Вопрос 5
Укажите выражения, для которых верно записана формула бинома Ньютона.
Варианты ответов
Вопрос 6
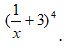
Найдите значение свободного члена в записи формулы бинома Ньютона для выражения
Вопрос 7
Найдите коэффициент при f в записи формулы бинома Ньютона для выражения (2-3f)3.
Вопрос 8
Для каждого выражения укажите число слагаемых в записи этих выражений по формуле бинома Ньютона.
1.
3 слагаемых
2.
4 слагаемых
3.
5 слагаемых
4.
6 слагаемых
Варианты ответов
-
(а+1)3
-
(t+z)4
-
(7-4x)5
Вопрос 9
Если записать формулу бинома Ньютона для выражения (x+y)12, то найдётся одночлен содержащий x3. В какой степени этот одночлен будет содержать переменную y? В ответе укажите только число (значение показателя степени).
Вопрос 10
Чему равна сумма биномиальных коэффициентов в записи формулы бинома Ньютона для выражения (а+b)10?


