ФД Электростатика В 1
Список вопросов теста
Вопрос 1
Установите соответствие между физическими величинами и формулами, по которым их можно рассчитать.
1.
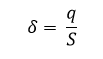
Поверхностная плотность зарядов
2.
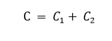
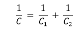
Электроемкость батареи параллельно соединенных конденсаторов
3.
Потенциал электростатического поля
4.
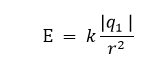
Напряженность электростатического поля точечного заряда
5.
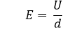
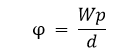
Связь напряженность электростатического поля с напряжением
Варианты ответов
Вопрос 2
Установите соответсвие физических величин (понятий) и их определений
1.
Диэлектрическая проницаемость вещества
2.
Электрическое поле
3.
Конденсатор
4.
Закон Кулона
Варианты ответов
-
сила взаимодействия двух неподвижных точечных зарядов в вакууме прямо пропорциональна произведению модулей зарядов и обратно пропорциональна квадрату расстояния между ними
-
физическая величина, характеризующая электрические свойства
диэлектрика и равная отношению напряженности электрического поля в вакууме к напряженности электрического поля в нем.
-
физическая величина, равная отношению потенциальной энергии заряда, помещенного в данную точку, к этому заряду.
-
особый вид материи, который создается заряженными телами, служащий для описания их взаимодействия.
-
физическая величина, равная отношению силы, действующей на помещенный в данную точку поля точечный заряд, к этому заряду.
-
устройство, состоящие из двух изолированных разноименно заряженных проводников, разделенных слоем диэлектрика.
Вопрос 3
Капля ртути, имеющая отрицательный заряд, равный заряду -5е, потеряла три электрона. Заряд капли стал равным
Варианты ответов
-
+2е
-
+3е
-
-3е
-
-2е
-
-8е
Вопрос 4
Два точечных электрических заряда 5q и -2q на расстоянии r друг от друга притягиваются с силой 2F. С какой силой будут притягиваться заряды 10q и -q на расстоянии 0,5r?
Варианты ответов
-
4F
-
8F
-
2F
-
F
Вопрос 5
Из представленных рисунков выберите тот, на котором изображены силовые линии электростатического поля одноименных зарядов
Варианты ответов
Вопрос 6
Как будет двигаться электрон в однородном электростатическом поле, если направления веторов напряженности и скорости взаимно перпендикулярны?
Варианты ответов
-
равнозамедленно прямолинейно
-
равноускоренно прямолинейно
-
равноускоренно по параболе
-
равномерно по окружности с центростремительным ускорением


