Энергия связи. Дефект масс
Список вопросов теста
Вопрос 1
Что такое дефект масс?
Варианты ответов
- Это избыток массы ядра по сравнению с массой составляющих его нуклонов
- Это недостаток массы ядра по сравнению с массой составляющих его нуклонов
- Это эффект превращения массы в энергию
- Это неоднородность распределения массы в атоме
Вопрос 2
Определите удельную энергию связи Fe-56 (в МэВ). (Ответ округлите до десятых)
Примите mp = 1,00728 а. е. м., mn = 1,00866 а. е. м., Мя Fe = 55,93494 а. е. м.
Вопрос 3
Найдите дефект масс для O-16 (в а.е.м. с точностью до тысячных). Ответ запишите без единиц измерения, только число.
Примите mp = 1,00728 а. е. м., mn = 1,00866 а. е. м., МяО = 15,99491 а. е. м.
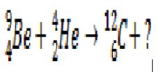
Вопрос 4
В ядерной реакции, приведенной ниже, вместо знака вопроса...
Варианты ответов
- должна быть альфа-частица
- должна быть бета-частица
- должен быть гамма-квант
- должен быть нейтрон
- должен быть протон
Вопрос 5
Минимальная энергия, необходимая для расщепления ядра на отдельные нуклоны, называется
Вопрос 6
Какое количество энергии (в ТДж) выделится при уменьшении массы тела на 1 г? Ответ запишите без единиц измерения, только число.
Вопрос 7
По какой формуле можно рассчитать дефект массы?
Варианты ответов
-
∆m = ∆E / c2
-
∆m = Zmp + Nmn - mя
-
∆m = (Zmp + Nmn - mя)с2
- Среди приведённых формул нет правильной
Вопрос 8
Определите энергию связи ядра изотопа 3Li7, если масса его ядра равна 7,01601 а. е. м. Примите mp = 1,00728 а. е. м., mn = 1,00866 а. е. м.
(Ответ дайте в пДж с точностью до 4-х знаков после запятой). Ответ запишите без единиц измерения, только число.
Вопрос 9
Сопоставьте.
1.
Энергия связи, приходящаяся на один нуклон
2.
Энергия, выделяющаяся или поглощающаяся в процессе ядерных реакций
3.
Энергия, необходимая для расщепления ядра на отдельные нуклоны.
4.
Разность между суммарной массой всех нуклонов ядра в свободном состоянии и массой ядра.
Варианты ответов
- Удельная энергия связи
- Энергетический выход
- Энергия связи
- Дефект массы
Вопрос 10
Определите энергетический выход реакции (в МэВ): .
(Ответ округлите до целого числа). Ответ запишите без единиц измерения, только число.
Примите: \(m_{_1^1H}=1,00783\ а.\ е.\ м.,\) \(m_{_2^3He}=3,\ 01605\ а.\ е.\ м.,\ m_{_2^4He}=4,00260\ а.\ е.\ м..\)



Все исправлено,спасибо
Указанные недочеты в тесте исправлены.
Здравствуйте. Благодарим Вас за комментарии. Мы обязательно все проверим.
В задании на сопоставление в последнем ответе "дефект массы" при проверке вместо варианта "4" отображается вариант "0" - из-за этого баллы за правильный ответ снижаются.
Здравствуйте, благодарим за сотрудничество. Данный вопрос откорректирован.
В 6 вопросе (Какое количество энергии выделится при уменьшении массы тела на 1 г?) не указано, в каких единицах измерения должен быть дан ответ - в то же время верный ответ в джоулях, т.е. в системе СИ, при автоматической проверке оценивается как неправильный.