Электронные таблицы
Дмитриенко Валентина Алесандровна
02.02.2022.
Тест. Информатика, 9 класс
Тесь предназначен для проверки знаний по теме "Электронные таблицы", 9 класс, УМК Босова Л. Л.
Система оценки:
5 балльная
Список вопросов теста
Вопрос 1
Рабочая книга Табличного процессора состоит из:
Варианты ответов
- ячеек
- строк
- столбцов
- листов
Вопрос 2
Обозначением строки в электронной таблице является:
Варианты ответов
- 18D
- K13
- 34
- AB
Вопрос 3
Строка формул используется в табличном процессоре для отображения:
Варианты ответов
- только адреса текущей строки
- только адреса текущей ячейки
- только содержимого текущей ячейки
- адреса и содержимого текущей ячейки
Вопрос 4
Ровно 20 ячеек электронной таблицы содержатся в диапазоне:
Варианты ответов
- E2 : F12
- C2 : D11
- C3 : F8
- A10 : D15
Вопрос 5
В ЭТ выделили группу четырёх соседних ячеек. Это может быть диапазон:
Варианты ответов
- A1:B4
- A1:C2
- A1:B2
- A1:C2
Вопрос 6
Среди приведённых ниже записей формулой для ЭТ является:
Варианты ответов
- A2 + D4B3
- =A2 + D4 * B3
- A1=A2 + D4 * B3
- A2 + D4 * B3
Вопрос 7
Наименьшая структурная единица электронной таблицы:
Варианты ответов
- табличный курсор
- ячейка
- строка меню
- строка заголовка
Вопрос 8
Содержимым ячейки может быть:
Варианты ответов
- число
- текст
- формула
- видео
Вопрос 9
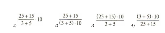
Математический эквивалент выражения электронной таблицы (25+15)/(3+5)*10

Варианты ответов
- 1
- 2
- 3
- 4
Получите комплекты видеоуроков + онлайн версии
Пройти тест
Сохранить у себя:
Тесты по информатике 9 класс
0
1476
Нравится
0


