Электрический заряд. Закон Кулона
Вахрамеева Светлана Николаевна
07.12.2023.
Тест. Физика, Прочее
Тест содержит 6 вопросов. Время выполнения теста - 8 минут. Читайте вопросы внимательно
Система оценки:
5*** балльная
Список вопросов теста
Вопрос 1
-\(1,6\cdot10^{-19}\ Кл\) - это значение?
Варианты ответов
- элементарного заряда
- коэффициента пропорциональности
- электрической постоянной
Вопрос 2
Существует ли минимальный отрицательный электрический заряд?
Варианты ответов
- Да, это заряд ядра атома водорода
- Да, это заряд электрона
- Нет, отрицательный заряд может быть сколь угодно мал
- Да, это заряд ядра атома гелия
Вопрос 3
На каком рисунке указано правильное взаимодействие зарядов?
Варианты ответов
- 1
- 2
- 3
Вопрос 4
На каком рисунке указано правильное взаимодействие зарядов?
Варианты ответов
- 1
- 2 и 3
- 3
- 1 и 3
Вопрос 5
Верно ли утверждение: одноименные заряды оталкиваюся
Варианты ответов
- верно
- не верно
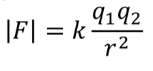
Вопрос 6
- данная формула отражает
Варианты ответов
- закон Кулона
- закон всемирного тяготения
Получите комплекты видеоуроков + онлайн версии
Пройти тест
Сохранить у себя:
Тесты по физике Прочее
0
1027
Нравится
0


