Экзаменационная работа. (Индивидуальный вариант)
Список вопросов теста
Вопрос 1

Варианты ответов
- а
- б
- в
- г
Вопрос 2

Варианты ответов
- а
- б
- в
- г
Вопрос 3
Если прямые не лежат в одной плоскости и не пересекаются, то они…
Варианты ответов
- Скрещиваются
- Параллельны
- Перпендикулярны
- Пересекаются
Вопрос 4
Диагональю призмы называется отрезок, соединяющий…
Варианты ответов
- Две вершины, не лежащие в одной грани
- Две смежные вершины
- Две вершины, лежащие в разных основаниях
- Две вершины
Вопрос 5
Цилиндр – это…
Варианты ответов
- Тело, состоящее из двух произвольных кругов, лежащих в параллельных плоскостях, и всех отрезков, соединяющих точки кругов
- Тело, состоящее из двух равных кругов, лежащих в параллельных плоскостях и всех отрезков, соединяющих соответствующие точки кругов
- Тело, состоящее из кругов и отрезков, соединяющих эти круги
- Тело, состоящее из круга, точки не лежащей в плоскости круга, и всех отрезков соединяющих точку, с точками круга
Вопрос 6

Вопрос 7

Вопрос 8

Вопрос 9

Вопрос 10
Найдите площадь боковой поверхности конуса, если его осевое сечение равносторонний треугольник со стороной 10см.
(вместо π не подставляйте 3,14. В ответ запишите коэффициент перед π, например, если получили47π, ответ 47)
Вопрос 11

Варианты ответов
- а
- б
- в
- г
Вопрос 12

Варианты ответов
- Угол прямой
- Угол тупой
- Угол острый
- АК и АМ не образуют угол
Вопрос 13

Варианты ответов
- А
- Б
- В
- Г
Вопрос 14

Варианты ответов
- 0
- 1
- 4
- 60
- бесконечность
- нет верного ответа
Вопрос 15

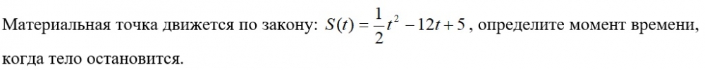
Вопрос 16

Вопрос 17
Сторона основания правильной шестиугольной призмы 7 см, высота 10 см. Найдите площадь боковой поверхности призмы.
Вопрос 18
Ученик выучил 12 вопросов из 60, какова вероятность того, что ему попадется выученный билет?
Вопрос 19
Сколькими способами можно разделить три призовых места между 10 командами?
Вопрос 20

Вопрос 21

Вопрос 22

Вопрос 23

Вопрос 24
Помещение освещается фонарём с двумя лампами. Вероятность перегорания одной лампы в течение года равна 0,2. Найдите вероятность того, что в течение года будут гореть обе лампы.
Вопрос 25

Варианты ответов
- 0
- 1
- 2
- 3
- 4
- 5
- 6
- 7
- более 7


