Экзаменационная работа ЭС-11 Индивидуальный вариант
Список вопросов теста
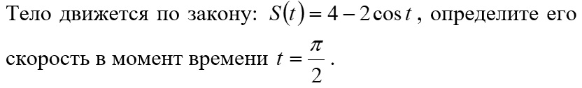
Вопрос 1

Варианты ответов
- А
- Б
- В
- Г
Вопрос 2

Варианты ответов
- А
- Б
- В
- Г
Вопрос 3
Если прямая и плоскость не имеют общих точек, по они…
Варианты ответов
- Пересекаются
- Параллельны
- Совпадают
- Скрещиваются
Вопрос 4
Полная поверхность правильной пирамиды состоит из…
Варианты ответов
- Боковой грани и основания
- Из боковых граней
- Из боковой поверхности и двух оснований
- Из боковой поверхности и основания
Вопрос 5
Прямая, проходящая через центры оснований цилиндра называется…
Варианты ответов
- Высотой
- Образующей
- Осью
- Апофемой
Вопрос 6

Варианты ответов
- А
- Б
- В
- Г
Вопрос 7

Варианты ответов
- Угол прямой
- Угол тупой
- Угол острый
- Угол не существует
Вопрос 8

Варианты ответов
- А
- Б
- В
- Г
Вопрос 9

Варианты ответов
- 0
- 1
- 2
- 3
- 4
- 5
- 6
- 7
- Более 7
Вопрос 10

Варианты ответов
- 0
- 1
- 3
- 4
- 12
- Бесконечность
- Другой вариант
Вопрос 11

Вопрос 12

Вопрос 13

Вопрос 14

Вопрос 15
Найдите объем конуса с высотой 15 см и радиусом 3см.
(вместо π не подставляйте 3,14. В ответ запишите коэффициент перед π, например, если получили47π, ответ 47)
Вопрос 16

Вопрос 17

Вопрос 18
Основание прямой призмы параллелограмм со сторонами 14 и 8 см. Высота призмы 10 см. Найдите площадь боковой поверхности призмы.
Вопрос 19
В конкурсе учувствуют 120 спортсменов из России, Китая, Канады и Италии. Из России 35 человек, из Китая 25 человек. Остальные из Канады и Италии (поровну из каждой страны). Порядок выступления определяется жребием. Найдите вероятность того, что первым будет выступать спортсмен из Канады.
Вопрос 20
Сколькими способами можно разделить 2 различные путевки между 20 сотрудниками?
Вопрос 21

Вопрос 22

Вопрос 23

Вопрос 24

Вопрос 25
Помещение освещается фонарём с тремя лампами. Вероятность перегорания одной лампы в течение года равна 0,4. Найдите вероятность того, что в течение года все лампы будут гореть.


