ДЗ_8а_алгебра_10.04
Бабаева Наталья Александровна
07.04.2025.
Тест. Алгебра, 8 класс
Подготовка к всероссийской проверочной работе
Система оценки:
5** балльная
Список вопросов теста
Вопрос 1

Вопрос 2

В ответ запишите произведение корней уравнения
Вопрос 3

Вопрос 4

Вопрос 5

Вопрос 6
В группе туристов 20 человек. С помощью жребия они выбирают 8 человек, которые должны идти в село в магазин за продуктами. Какова вероятность того, что турист Д., входящий в состав группы, пойдёт в магазин?
Вопрос 7

Вопрос 8

Вопрос 9

Если вершин несколько, в ответ запишите их в алфавитном порядке, без знаков препинания
Вопрос 10
Укажите номер верного утверждения:
1)Любая высота равнобедренного треугольника является его биссектрисой.
2)Любой параллелограмм можно вписать в окружность.
3)Сумма углов тупоугольного треугольника равна 180°.
4)Если две стороны одного треугольника соответственно равны двум сторонам другоготреугольника, то такие треугольники равны.
Вопрос 11
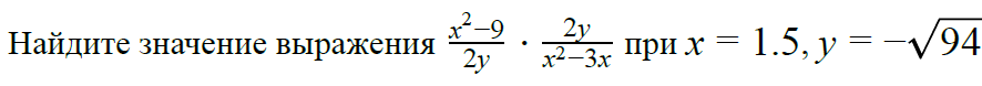
Выполние задание 14а
Вопрос 12
Выполните задание 14б
Получите комплекты видеоуроков + онлайн версии
Пройти тест
Сохранить у себя:
Тесты по алгебре 8 класс
0
879
Нравится
0


