Дробные уравнения
Бедарькова Елена Владимировна
09.02.2020.
Тест. Алгебра, 9 класс
Тест содержит 5 дробных уравнений, при решении которых используется свойство пропорции
Система оценки:
5* балльная
Список вопросов теста
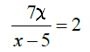
Вопрос 1
Решите уравнение:
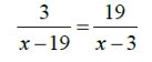
Вопрос 2
Решите уравнение:
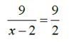
Вопрос 3
Решите уравнение:
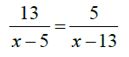
Вопрос 4
Решите уравнение:

Вопрос 5
Решите уравнение:
Получите комплекты видеоуроков + онлайн версии
Пройти тест
Сохранить у себя:
Тесты по алгебре 9 класс
0
191
Нравится
0


