Домашнее задание. Олимпиада Росатом 2024-25. Вар. 2. Номер 3. На 25 минут.
Автор скрыт
01.11.2025.
Тест. Математика, 11 класс
Домашнее задание. Олимпиада Росатом 2024-25. Вар. 2. Номер 3. На 25 минут.
Система оценки:
10 балльная
Список вопросов теста
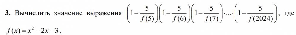
Вопрос 1
Варианты ответов
- 1310 / 6067
- 1013 / 6063
- 1013 / 5053
- 1310 / 6703
- 1113 / 5053
- 1313 / 6306
Получите комплекты видеоуроков + онлайн версии
Пройти тест
Сохранить у себя:
Тесты по математике 11 класс
0
19
Нравится
0


