Домашнее задание. Олимпиада Физтех 2025-26. Онлайн-этап 10. Попытка 1. Номер 9. На 20 минут.
Автор скрыт
17.10.2025.
Тест. Математика, 11 класс
Домашнее задание. Олимпиада Физтех 2025-26. Онлайн-этап 10. Попытка 1. Номер 9. На 20 минут.
Система оценки:
10 балльная
Список вопросов теста
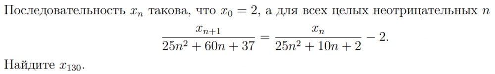
Вопрос 1
Получите комплекты видеоуроков + онлайн версии
Пройти тест
Сохранить у себя:
Тесты по математике 11 класс
0
26
Нравится
0


