Дифференцированный зачет по дисциплине "Физика"
Список вопросов теста
Вопрос 1
На рисунке приведен график зависимости скорости движения тела от времени. График соответствует:
Варианты ответов
- прямолинейному равномерному движению
- равнозамедленному движению
- равноускоренному движению
Вопрос 2
Тело движется со скоростью 10м/с. Вычислите путь, пройденный за 20 с?
Варианты ответов
- 0,2 м
- 20 м
- 200 м
Вопрос 3
Тело, двигаясь равномерно прошло 20 м за 2с. Вычислите скорость тела?
Варианты ответов
- 40 м/с
- 20 м/с
- 10 м/с
Вопрос 4
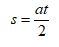
Каким выражением определяется путь при равномерном прямолинейном движении?
Варианты ответов
Вопрос 5
Единице какой физической величины соответствует выражение м/с?
Варианты ответов
- ускорения
- скорости
- импульса тела
Вопрос 6
Какова единица перемещения в СИ?
Варианты ответов
- см
- км
- м
Вопрос 7
При равноускоренном движении автомобиля в течение 5 с его скорость изменилась от 10 до 15 м/с. Чему равен модуль ускорения автомобиля?
Варианты ответов
-
1 м/с 2
-
2 м/с 2
-
3 м/с 2
Вопрос 8
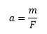
Как будет двигаться тело массой 2 кг под действием постоянной силы, равной 4 Н?
Варианты ответов
- равномерно, со скоростью 2 м/с
-
равноускоренно, с ускорением 2 м/с2
-
равноускоренно, с ускорением 0,5 м/с2
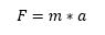
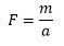
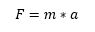
Вопрос 9
Какая из формул выражает второй закон Ньютона?
Варианты ответов
Вопрос 10
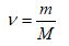
Указать формулу вычисления количества вещества.
Варианты ответов
Вопрос 11
Какая из нижеприведенных формул выражает закон всемирного тяготения?
Варианты ответов
Вопрос 12
Чему равна кинетическая энергия тела массой 4 кг, движущегося со скоростью 3 м/с ?
Варианты ответов
- 6 Дж
- 24 Дж
- 18 Дж
Вопрос 13
Рассчитайте потенциальную энергию тела массой 5 кг относительно поверхности Земли, если оно поднято на высоту 12 м от этой поверхности. (Ускорение свободного падения принять равным 10 м/с 2).
Варианты ответов
- 1,5 Дж
- 600 Дж
- 15 Дж
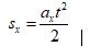
Вопрос 14
По графику зависимости модуля скорости от времени (рис.) определите ускорение прямолинейно движущегося тела в момент времени t=2 с.
Варианты ответов
-
18 м/с 2
-
9 м/с 2
-
3 м/с 2
Вопрос 15
Как движется тело, если сумма всех действующих на него сил равна нулю?
Варианты ответов
- скорость тела возрастает
- скорость тела убывает
- скорость тела может быть любой, но обязательно неизменной во времени
Вопрос 16
На рисунке показаны силы, действующие на тело, движущегося со скоростью . Укажите направление силы тяжести?
Варианты ответов
- 2
- 3
- 1
Вопрос 17
Какова единица мощности в СИ?
Варианты ответов
- Джоуль
- Ньютон
- Ватт
Вопрос 18
Какую работу выполняет двигатель мощностью 60 Вт за 30 с?
Варианты ответов
- 18 Дж
- 1800 Дж
- 0,18 Дж
Вопрос 19
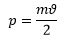
Каким выражением определяется импульс тела (m-масса тела, v- скорость) ?
Варианты ответов
Вопрос 20
Какова единица импульса силы в СИ?
Варианты ответов
- Н*с
- Н/с
- Н
Вопрос 21
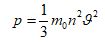
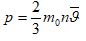
Основное уравнение молекулярно - кинетической теории идеального газа:
Варианты ответов
Вопрос 22
Определить относительную влажность, если показания сухого термометра 240C, а показания влажного термометра 80C?
Варианты ответов
- 56 %
- 65 %
- 29 %
Вопрос 23
Какое явление наиболее убедительно доказывает, что молекулы находятся в непрерывном хаотическом движении?
Варианты ответов
- испарение жидкости
- диффузия
- изменение объема при нагревании
- Броуновское движение
Вопрос 24
Что такое "анизотропия"?
Варианты ответов
- зависимость физических свойств вещества
- независимость физических свойств вещества
- способность вещества существовать в различных кристаллических структурах
Вопрос 25
Какие вещества относятся к аморфным?
Варианты ответов
- стекло
- смола
- чугун
- поваренная соль
- карамель
Вопрос 26
Что можно сказать о скорости движения молекул жидкости?
Варианты ответов
- скорость движения молекул мала
- скорость движения молекул велика
- скорости движения молекул различны
Вопрос 27
Какая жидкость - духи, вода или подсолнечное масло - испарится быстрее других?
Варианты ответов
- духи
- вода
- подсолнечное масло
- они испарятся одновременно
Вопрос 28
В системе СИ единица теплоты:
Варианты ответов
- Джоуль
- Кулон
- Ньютон
Вопрос 29
Испарение - это парообразование, которое...
Варианты ответов
- происходит с поверхности жидкости
- наступает при нагревании жидкости
- наблюдается лишь у некоторых жидкостей
Вопрос 30
Электрическим током называется...
Варианты ответов
- движение электронов
- упорядоченное движение заряженных частиц
- упорядоченное движение электронов
Вопрос 31
Закон Ома для участка цепи:
Варианты ответов
Вопрос 32
На рисунке приведен график зависимости скорости движения тела от времени. График соответствует:
Варианты ответов
- прямолинейному равномерному движению, вдоль оси
- прямолинейному равноускоренному движению, вдоль оси ОХ
- прямолинейному равнозамедленному движению, вдоль оси ОХ
Вопрос 33
Каким выражением определяется работа силы, действующей в направлении движения?
Варианты ответов
Вопрос 34
Инерцией называют явление сохранения скорости тела при
Варианты ответов
- отсутствии действия на него других тел
- изменении положения других тел
- действии на него других тел
Вопрос 35
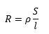
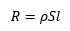
Сопротивление проводника вычисляется по формуле:
Варианты ответов
Вопрос 36
Какое тело не проводит электрический ток?
Варианты ответов
- плазма
- металлический провод
- резина
Вопрос 37
Автомобиль, движущийся в зимнее время по скользкому участку дороги с выключенным двигателем,
Варианты ответов
- останавливается в результате действия сопротивления частиц дороги и колеса
- останавливается самопроизвольно
- не останавливается все время движения
Вопрос 38
Найти направление вектора напряженности в данной точке поля.
Варианты ответов
- направо
- налево
- вверх
- вниз


