Дифференцированный зачет ФИН-921, 922 2024
Список вопросов теста
Вопрос 1
Введите название объекта
Вопрос 2
Для матрицы
запись вида 3х2 называется ... матрицы
Вопрос 3
Матрица вида
называется ... матрицей
Вопрос 4
Введите сумму элементов главной диагонали матрицы
Вопрос 5
Введите произведение элементов побочной диагонали матрицы
Вопрос 6
Прямоугольной матрицей называют...
Варианты ответов
- матрицу, у которой количество строк равно количеству столбцов;
- матрицу, у которой количество строк не равно количеству столбцов;
- матрицу, у которой ниже главной диагонали лежат нули;
- матрицу, определитель которой равен нулю.
Вопрос 7
Треугольной матрицей называют...
Варианты ответов
- матрицу, у которой количество строк равно количеству столбцов;
- матрицу, у которой количество строк не равно количеству столбцов;
- матрицу, у которой ниже главной диагонали лежат нули;
- матрицу, определитель которой равен нулю.
Вопрос 8
Введите сумму элементов треугольной матрицы
Вопрос 9
Диагональной матрицей называют...
Варианты ответов
- матрицу, у которой все элементы, кроме элементов главной диагонали равны нулю
- матрицу, у которой все элементы, кроме элементов главной диагонали не равны нулю
- матрицу, у которой ниже или выше главной диагонали лежат нули;
- матрицу, у которой все элементы, кроме элементов побочной диагонали равны нулю
Вопрос 10
Среди предложенных матриц укажите единичную
Варианты ответов
Вопрос 11
Для матрицы
введите значение а23-а34
Вопрос 12
введите сумму всех элементов матрицы
Вопрос 13
Матрица
равна...
Варианты ответов
Вопрос 14
Выберите пары матриц, которые нельзя умножить
(ответов может быть более одного)
Варианты ответов
-
-
-
-
-
-
таких матриц нет
Вопрос 15
Произведение матрицы А размерностью 5х8 на матрицу В существует, если размерность матрицы В равна
Варианты ответов
- 5х5
- 8х8
- 5х4
- 13х13
Вопрос 16
В результате умножения матрицы
Варианты ответов
- число
- эти матрицы нельзя умножить
- матрицу размерности 6х6
- матрицу размерности 4х9
- матрицу размерности 4х4
- матрицу размерности 9х9
Вопрос 17
В результате сложения матрицы А, размерности 2х6 с матрицей В размерности 6 ×2 получим …
Варианты ответов
- число
- эти матрицы нельзя сложить
- матрицу размерности 2х2
- матрицу размерности 6х6
- матрицу размерности 2х6
- матрицу размерности 6х2
Вопрос 18
В результате вычитания матрицы А, размерности 3х7 из матрицы В размерности 7×2 получим …
Варианты ответов
- число
- эти матрицы нельзя вычесть
- матрицу размерности 3х2
- матрицу размерности 2х2
- матрицу размерности 7х2
- матрицу размерности 3х2
Вопрос 19
Укажите матрицы, для которых нельзя вычислить определитель
Варианты ответов
-
-
-
-
-
таких матриц нет
Вопрос 20
Значение определителя матрицы
равно...
Варианты ответов
- 1
- 6
- 0
- у такой матрицы не существует определителя
Вопрос 21
Введите значение определеителя
Вопрос 22
Введите значение определеителя
Вопрос 23
Вставьте пропущенное слово в предложении:
_________________ из n элементов по k элементов называются комбинации, состоящие из k элементов и отличающиеся друг от друга либо составом элементов, либо порядком их расположения, либо и тем и другимодновременно.
Вопрос 24
Вставьте пропущенное слово в предложении:
_________________ из n элементов по k элементов называются комбинации, состоящие из k элементов и отличающиеся друг от друга только составом элементов.
Вопрос 25
Введите числовое значение предела
(если в результате получилась бесконечно большая величина, в ответе пишем слово бесконечность)
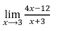
Вопрос 26
Введите числовое значение предела
(если в результате получилась бесконечно большая величина, в ответе пишем слово бесконечность)
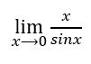
Вопрос 27
Введите числовое значение предела
(если в результате получилась бесконечно большая величина, в ответе пишем слово бесконечность)
Вопрос 28
Предел вида
называется ...
Вопрос 29
Предел вида
называется ...
Вопрос 30
Введите числовое значение предела
(если в результате получилась бесконечно большая величина, в ответе пишем слово бесконечность)
Вопрос 31
Введите пропущенные слова: запись \(x\rightarrowа\) читается как x... к a
Вопрос 32
Если \(X\rightarrow0\), то такая величина называется ...
Вопрос 33
Если \(X\rightarrow\infty\), то такая величина называется ...
Вопрос 34
Если \(x\rightarrow\infty\), то \(\frac{1}{x}\rightarrow?\)
Вопрос 35
Комбинаторика отвечает на вопрос:
Варианты ответов
- какова частота массовых случайных явлений;
- с какой вероятностью произойдет некоторое случайное событие;
- сколько различных комбинаций можно составить из элементов данного множества;
- сколько элементов содержит данное множество.
Вопрос 36
Количество сочетаний из n элементов по k элементов, вычисляется по формуле...
Варианты ответов
-
\(\frac{n!}{\left(n-k\right)!}\)
-
\(\frac{n!}{k!\cdot\left(n-k\right)!}\)
-
\(\frac{n!}{k!}\)
-
n!
Вопрос 37
Количество размещений из n элементов по k элементов, вычисляется по формуле...
Варианты ответов
-
\(\frac{n!}{\left(n-k\right)!}\)
-
\(\frac{n!}{k!\cdot\left(n-k\right)!}\)
-
\(\frac{n!}{k!}\)
-
n!
Вопрос 38
Количество перестановок из n элементов по k элементов, вычисляется по формуле...
Варианты ответов
-
\(\frac{n!}{\left(n-k\right)!}\)
-
\(\frac{n!}{k!\cdot\left(n-k\right)!}\)
-
\(\frac{n!}{k!}\)
-
n!
Вопрос 39
Что означает n! в комбинаторике?
Варианты ответов
- восклицание
- произведение всех натуральных чисел от 1 до n включительно
- сумму квадратов целых чисел от 1 до n
- произведение всех натуральных чисел от 0 до n включительно


