Контрольная работа
Список вопросов теста
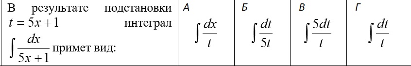
Вопрос 1

Варианты ответов
- А
- Б
- В
- Г
Вопрос 2

Варианты ответов
- А
- Б
- В
- Г
Вопрос 3

Варианты ответов
- А
- Б
- В
- Г
Вопрос 4

Варианты ответов
- А
- Б
- В
- Г
Вопрос 5

Варианты ответов
- А
- Б
- В
- Г
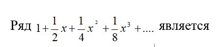
Вопрос 6

Варианты ответов
- Знакоположительным
- Знакочередующимся
- Степенным
- Функциональным
Вопрос 7

Варианты ответов
- Сходится
- Расходится
- Не существует
- Нельзя однозначно сказать сходится или расходится
Вопрос 8
Множество состоящее из корней уравнения х2-\(\sqrt{12}\)=0 является
Варианты ответов
- Конечным
- Бесконечным
- Дискретным
- Пустым
Вопрос 9
По цели произведено 20 выстрелов, зафиксировано 16 попаданий. Найдите вероятность попадания в цель
Вопрос 10
Два стрелка производят по одному выстрелу. Вероятность попадания в цель у первого 0,8; у второго 0,6. Найдите вероятность того, что оба стрелка промажут
Вопрос 11

Вопрос 12
Выберите утверждения, которое не является логическими высказываниями.
Варианты ответов
- Солнце спутник земли
- Луна - это планета
- Стой!!
- Вперед?
- Тише едешь - дальше будешь
Вопрос 13
Установите соответствие мжду функцией и ее производной

1.
1
2.
2
3.
3
4.
4
Варианты ответов
- А
- Б
- В
- Г
Вопрос 14
Установите соответствие между однородным линейным дифференциальным уравнением второго порядка с постоянными коэффициентами и соответствующим ему характеристическим уравнением.

1.
1
2.
2
3.
3
4.
4
Варианты ответов
- А
- Б
- В
- Г
Вопрос 15
Установите соответствие между числовым рядом и его общим членом аn

1.
1
2.
2
3.
3
4.
4
Варианты ответов
- А
- Б
- В
- Г
Вопрос 16
Установите соответствие между числовым рядом и его общим членом аn

1.
1
2.
2
3.
3
4.
4
Варианты ответов
- А
- Б
- В
- Г
Вопрос 17
Даны множества А и В. На рисунке штриховкой показано

1.
Пересечение множеств А и В
2.
Дополнение множества А до В
3.
Разность множеств А и В
4.
Объединение множеств А и В
Варианты ответов
- А
- Б
- В
- Г
Вопрос 18
На область, имеющую форму квадрата случайным образом бросают материальную точку. Найдите вероятность того, что она попадет в серую зону.

1.
1
2.
2
3.
3
4.
4
Варианты ответов
- 0,5
- 0,625
- 0,0625
- 0,25
Вопрос 19

Варианты ответов
- Знакоположительным
- Знакочередующимся
- Степенным
- Функциональным
Вопрос 20

Варианты ответов
- Сходится
- Расходится
- Не существует
- Нельзя однозначно сказать сходится или расходится
Вопрос 21

Варианты ответов
- 1
- 0,10
- 0,9
- 0,11
- 0,12
- нет верного ответа
Вопрос 22

1.
Числовой ряд с положительными членами
2.
Знакочередующийся ряд
3.
Степенной ряд
4.
Функциональный ряд
Варианты ответов
- А
- Б
- В
- Г
Вопрос 23
Если из того, что для любых х, у выполняется хρу, следует, что выполняется уρх, то это бинарное отношение…
Варианты ответов
- Симметрично
- Рефлексивно
- Транзитивно
- Антисимметрично
Вопрос 24
Пусть Х – множество точек отрезка [4, 5], а Y – множество точек отрезка [5, 6]. Декартово произведение множеств Х и У – множество точек квадрата с вершинами в точках:
Варианты ответов
- (4, 5), (5, 6), (5, 4), (6, 5)
- (20, 25), (25, 30), (5, 5), (5, 6)
- (4, 5), (4, 6), (5, 5), (5, 6)
- (16,25), (16,36), (25,25), (16,25)
- (5,4), (6,4), (6,5), (5,5)
Вопрос 25
Какими свойством обладает бинарное отношение «х < у»?
Варианты ответов
- Симметрично
- Рефлексивно
- Транзитивно
- Отношение эквивалентности
Вопрос 26
В сборнике билетов по химии всего 35 билетов, в 7 из них встречается вопрос по теме "Кислоты". Найдите вероятность того, что в случайно выбранном на экзамене билете школьнику не достанется вопроса по теме "Кислоты".
Вопрос 27
Как называется связный граф не содержащий ни циклов, ни петель, ни кратных ребер?
Варианты ответов
- Маршрут
- Путь
- Контур
- Цикл
- Цепь
- Дерево
Вопрос 28
Как называется последовательность ребер, в которой конец одного ребра является началом другого ребра?
Варианты ответов
- Маршрут
- Путь
- Контур
- Цикл
- Цепь
- Дерево
- Петля
Вопрос 29
Как называется маршрут, у которого все ребра различны?
Варианты ответов
- Маршрут
- Путь
- Контур
- Цикл
- Цепь
- Дерево
- Петля
Вопрос 30
Как называется ребро, соединяющее вершину саму с собой?
Варианты ответов
- Маршрут
- Путь
- Контур
- Цикл
- Цепь
- Дерево
- Петля
Вопрос 31
Если ребро графа соединяет две вершины u и v, то говорят что ребро...
Варианты ответов
- Объединяет вершины
- Смежное с вершинами
- Комбинирует вершины
- Инцендентно вершинам
Вопрос 32
Как называется множество точек(вершин) и множество ребер (дуг), соединяющих некоторые пары точек?
Варианты ответов
- График
- Граф
- Множество
- Бином
- Полином
Вопрос 33
Определить какие из множеств являются подмножествами множества
А = {5, 15, 25, 35, 45, 55}
Варианты ответов
- {55}
- {5, 25, 50}
- {25, 55, 75}
- {25, 55}
Вопрос 34
Какое из множеств определяет
, если А = {2, 4, 6, 8, 10}, B = {8, 10, 12, 14}
Варианты ответов
- {2, 4, 6, 8, 10, 12, 14}
- {8, 10, 12, 14}
- {8, 10}
- {2, 4, 6, 8, 10, 12}
Вопрос 35
Какое из множеств определяет
,
если A = {2, 4, 6, 8, 10}, B = {2, 4, 8, 9}
Варианты ответов
- {2, 4, 6, 8, 10}
- {2, 4, 8, 9}
- {2, 4, 8}
- {2, 4, 6, 8, 9, 10}
Вопрос 36
Сколько элементов содержит множество А\В,
если А = {1, 2, 3, 4, 5}, B = {3, 4, 5, 6, 7}
Вопрос 37
Чему равна действительная часть комплексного числа Z=-3+5i?
Вопрос 38
Чему равна мнимая часть комплексного числа Z=-3+i?
Вопрос 39
Cуммой чисел (-4-3i) и (-8+5i) является число
Варианты ответов
- -12-8i
- -12+2i
- -4+2i
- 4+8i
Вопрос 40
Расностью чисел (-11-13i) и (-15+i) является число
Варианты ответов
- 4-14i
- -26-12i
- -4-12i
- 4-12i
Вопрос 41
Найдите модуль комплексного числа 20-21i
Вопрос 42
Произведением (3+6i) и(3-6i) является число
Варианты ответов
- 45
- 9-36i
- -27
- 21
- 9+36i
- 9+12i
Вопрос 43
Комплексно-сопряженным для числа 7-2i является число
Варианты ответов
- 7+2i
- -7-2i
- -7+2i
- 2-7i
- 2+7i
- -2-7i
- -2+7i
Вопрос 44
Выберите правильный ответ
На множестве действительных чисел не выполнима операция:
Варианты ответов
- Деления чисел
- Возведения в степень отрицательного числа
- Извлечения корня из отрицательного числа
- Сравнения чисел
Вопрос 45
Что представляет собой число i
Варианты ответов
- число, квадратный корень из которого равен – 1
- число, квадрат которого равен – 1
- число, квадрат которого равен – 1
- число, квадрат которого равен 1
Вопрос 46
Числа 5; 3-6i; 2,7; 2i принадлежат множеству
Варианты ответов
- Действительных чисел
- Мнимых чисел
- Иррациональных чисел
- Комплексных чисел
Вопрос 47
Два комплексных числа нельзя соединить знаком
Варианты ответов
- Равенства
- Неравенства
- Деления
- Произведения
Вопрос 48
Выберите утверждения, которые являются верными
Варианты ответов
- Число, квадрат которого равен (– 4), является действительным
- Число 2i является чисто мнимым
- Действительная и мнимая части комплексного числа 3–2i соответственно равны 3 и 2.
- Действительная и мнимая части сопряженных чисел отличаются только знаками
- Два комплексных числа равны, если равны их модули
- У сопряженных комплексных чисел модули равны
Вопрос 49

Варианты ответов
- А
- Б
- В
- Г
Вопрос 50

Варианты ответов
- А
- Б
- В
- Г
Вопрос 51

Вопрос 52

Вопрос 53

Варианты ответов
- А
- Б
- В
- Г
Вопрос 54

Варианты ответов
- А
- Б
- В
- Г
Вопрос 55
В каких точках касательная, проведенная к графику функции параллельна оси х (в ответе укажите количество таких точек)

Вопрос 56
Сколько точек экстремума иметт функция, график которой показан на рисунке

Вопрос 57
Сколько точек минимума имеет функция, график которой показан на рисунке



