Дифференцирование показательной и логарифмической функций
Автор скрыт
24.05.2020.
Тест. Алгебра, 11 класс
Будьте внимательны! У Вас есть 10 минут на прохождение теста. Система оценивания - 5 балльная. Разбалловка теста - 3,4,5 баллов, в зависимости от сложности вопроса. Порядок заданий и вариантов ответов в тесте случайный. С допущенными ошибками и верными ответами можно будет ознакомиться после прохождения теста. Удачи!
Система оценки:
5 балльная
Список вопросов теста
Вопрос 1
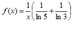
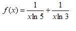
Укажите верные формулы:
Варианты ответов
Вопрос 2
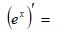
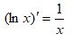
Укажите верные формулы:
Варианты ответов
Вопрос 3
Варианты ответов
Вопрос 4
Варианты ответов
- 0
-
-
-
Вопрос 5
Вопрос 6
Варианты ответов
Вопрос 7
Варианты ответов
Вопрос 8
Вопрос 9
Укажите верное соответствие частей формул:
1.
2.
3.
4.
Варианты ответов
Вопрос 10
Найдите производную функции \(f\left(x\right)=\log_5x+\ln x\).
Варианты ответов
-
\(f'\left(x\right)=\frac{1}{x\ln5}+\frac{1}{x}\)
-
\(f'\left(x\right)=\frac{1}{x\ln5}+\frac{1}{x\ln3}\)
-
\(f'\left(x\right)=\frac{1}{x}\left(\frac{1}{\ln5}+1\right)\)
-
\(f'\left(x\right)=\ln5+\ln x\)
Получите комплекты видеоуроков + онлайн версии
Пройти тест
Сохранить у себя:
Тесты по алгебре 11 класс
0
1084
Нравится
0


