Действия с обыкновенными дробями
Пахомова Елена Михайловна
15.01.2023.
Тест. Математика, 5 класс
Данный тест представляет собой решение примеров на все действия с обыкновенными дробями.
Система оценки:
5** балльная
Список вопросов теста
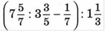
Вопрос 1
. Ответ дайте в виде несократимой правильной дроби или смешанного числа.
Варианты ответов
-
\(1\frac{1}{2}\)
-
\(\frac{3}{2}\)
-
\(\frac{6}{4}\)
-
\(2\frac{1}{7}\)
-
нет верного ответа
Вопрос 2
Выполните действия
. Ответ запишите в виде смешанного числа или несократимой правильной дроби
Варианты ответов
-
\(1\frac{2}{3}\)
-
\(1\frac{4}{6}\)
-
\(\frac{5}{6}\)
-
нет верного ответа
-
\(\frac{2}{3}\)
Вопрос 3
Ответ дайте в виде несократимой правильной дроби или смешанного числа
Варианты ответов
-
\(\frac{2}{3}\)
-
\(2\frac{2}{3}\)
-
\(1\frac{1}{3}\)
-
нет верного ответа
-
\(2\frac{3}{4}\)
Получите комплекты видеоуроков + онлайн версии
Пройти тест
Сохранить у себя:
Тесты по математике 5 класс
0
345
Нравится
0


