Действия с обыкновенными дробями
Чупина Алена Викторовна
24.11.2020.
Тест. Математика, 6 класс
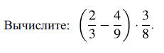
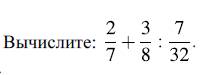
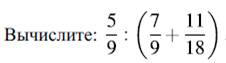
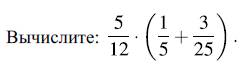
В ответе укажите дробь через знак /. Например 2/5. Смешанные дроби записываются в виде неправильных дробей.
Система оценки:
5 балльная
Список вопросов теста
Вопрос 1

Вопрос 2

Вопрос 3

Вопрос 4

Вопрос 5

Вопрос 6

Вопрос 7

Вопрос 8

Получите комплекты видеоуроков + онлайн версии
Пройти тест
Сохранить у себя:
Тесты по математике 6 класс
0
184
Нравится
0


