Чётные и нечётные функции
Список вопросов теста
Вопрос 1
Функция у = f (х), заданная на множестве Х называется чѐтной, если для любого значения х ∊ Х выполняется:
Варианты ответов
- f(−x)=f(x);
- f(−x)=−f(x);
- f(−x)≠−f(x), f(−x)≠f(x)
Вопрос 2
Определить четность функции: \(y=x^4-\frac{1}{2}x^3-2\)
Варианты ответов
- чётная
- нечётная
- ни чётная, ни нечётная
Вопрос 3
Даны функции:
1. \(y=x^2\)
2. \(y=x^3+5x\)
3. \(y=x-3\)
4. \(y=3x^3+3x-7\)
Из них нечётными являются функции:
Варианты ответов
- все
- 2, 3, 4
- 1, 2, 4
- среди предложенных ответов нет правильного
Вопрос 4
Даны функции:
1. \(y=x^2\)
2. \(y=x^2+5x\)
3. \(y=x^6-3\)
4. \(y=7x^2-3x^8-9\)
Из них чётными являются функции:
Варианты ответов
- все
- 2, 3, 4
- 1, 3, 4
- среди предложенных ответов нет правильного
Вопрос 5
Является ли симметричным множество [-7;7]?
Варианты ответов
- да
- нет
Вопрос 6
На рисунке построена ветвь графика функции y=f(x)

Как будет выглядеть весь график этой функции, если известно, что y = f(x) нечѐтная функция?
Варианты ответов
Вопрос 7
Постройте график функции и определите четность функции:

Варианты ответов
- функция четная;
- функция нечетная;
- функция ни четная, ни нечетная.
Вопрос 8
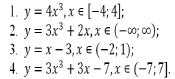
Даны функции:

Из них нечѐтными являются функции:
Варианты ответов
- 1, 2, 4
- 2, 3
- 1 ,2
Вопрос 9
Исследуйте на чѐтность функции, графики которых изображены на
рисунках 1 и 2.

Варианты ответов
- рисунок 1 – нечётная функция, рисунок 2 - чётная функция;
- рисунок 1 – чётная функция, рисунок 2 - нечётная функция;
- обе функции чётные.
Вопрос 10
Исследуйте на чѐтность функцию, график которой изображен на
рисунке:

Варианты ответов
- функция чётная;
- ни чётная, ни нечётная;
- нечётная.





