Четность и нечетность функций
Список вопросов теста
Вопрос 1
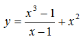
Укажите промежуток, который входят в область определения функции

Варианты ответов
Вопрос 2
Вычислите y(3), если y=x2+7
Вопрос 3
Укажите нули функции, график которой изображен на рисунке:
Варианты ответов
- -3
- -2
- -1
- 2
- 3
Вопрос 4
Какая из точек принадлежит графику функции y=x3-7?
Варианты ответов
- A (2; 1)
- B (2; 2)
- C (2; 3)
- D (2; 4)
- E (2; 5)
Вопрос 5
Известно, что точка с координатами (x1; y1) принадлежит графику функции

Определить, будет ли графику этой функции принадлежать точка с координатами (-x1; -y1)?
Варианты ответов
- Да
- Нет
Вопрос 6
Найти абсциссы точек пересечения графиков функций
и 
Варианты ответов
- 0
- 3
- 1
- 5
- 4
Вопрос 7
Как в зависимости от знака коэффициента перед x2 направлены ветви графика функции y=ax2+bx+c?
1.
то ветви параболы направлены вниз
2.
то ветви параболы направлены вверх
Варианты ответов
- Если a>0,
- Если a<0,
Вопрос 8
Функция задана формулой
. Найдите значение функции, соответствующее значению аргумента, равному 0,02.
Варианты ответов
- -4,939
- -4,9391
- -4,9392
- -4,9393
Вопрос 9
Функция задана формулой
. Найдите значение x, при котором y = 3.
Варианты ответов
- 6
- 7
- 8
- 9
Вопрос 10
Укажите функции, областью определения которых будет вся числовая прямая:
Варианты ответов
-

-

-

-
y=5









