Четность и нечетность функций
Список вопросов теста
Вопрос 1
Укажите функции, область определения которых - симметричные множества относительно x=0:
Варианты ответов
-
y=4x-x2
-

-

-
y=x+5
Вопрос 2
Составьте верное соответствие:
Функция называется _______________, если:
1) область определения функции симметрична относительно x=0;
2) для любого x из области определения справедливо равенство __________________.
1.
f(-x)=-f(x)
2.
f(-x)=f(x)
Варианты ответов
- четной
- нечетной
Вопрос 3
Выберите четную функцию:
Варианты ответов
-
y=x4
-
y=x3
-
y=x4-x3
-
y=x4+x3
Вопрос 4
Выберите нечетную функцию:
Варианты ответов
-
y=x4
-
y=x3
-
y=x4-x3
-
y=x4+x3
Вопрос 5
Выберите функции, которые не являются ни четными, ни нечетными:
Варианты ответов
-
y=x4
-
y=x3
-
y=x4-x3
-
y=x4+x3
Вопрос 6
Известно, что y=f(x) - нечетная функция и f(-3)=17. Найти f(3).
Вопрос 7
Известно, что y=f(x) - четная функция и f(-56)=9. Найти f(-56)+f(56). В ответе запишите только число. Например, 10
Вопрос 8
Если область определения функции не является симметричным относительно x=0 множеством, можно ли говорить о четности или нечетности этой функции?
Варианты ответов
- Да
- Нет
Вопрос 9
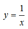
Исследовать на четность функцию .
Варианты ответов
- Четная.
- Нечетная
- Ни четная, ни нечетная.
- Говорить о четности нельзя.
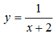
Вопрос 10
Исследовать на четность функцию .
Варианты ответов
- Четная.
- Нечетная.
- Ни четная, ни нечетная.
- Говорить о четности нельзя.





!