Чейректик тест
Айчурок Амировна
28.05.2020.
Тест. Математика, 6 класс
Кылдаттык менен иштегиле. Чейрегинер ушу боюнча чыгат.
Система оценки:
5 балльная
Список вопросов теста
Вопрос 1
Кобойтундусу бирге барабар болгон эки орундуу сан ..... сандар деп аталышат?
Варианты ответов
- курама сан
- оз ара жонокой сан
- оз ара тескери сан
Вопрос 2
96 санынын 5/8 болугун тапкыла?
Варианты ответов
- 60
- 48
- 20
Вопрос 3
Тик бурчтуктун узундугу 4/5 м , туурасы 1/4 м . Тик бурчтуктун периметрин тапкыла?
Варианты ответов
- 4/20
- 21/20
- 21/10
Вопрос 4
27 жана 36 сандарынын эн кичине жалпы болунуучусун тапкыла ?
Варианты ответов
- 216
- 108
- 512
Вопрос 5
тендемени чыгаргыла:
9х+4-5х=8+7х-9-3х+5
Варианты ответов
- 1
- -2
- каалаган сан
Вопрос 6

Варианты ответов
- 43
- 1
- -1
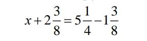
Вопрос 7
тендемени чыгаргыла:

Варианты ответов
- 3/2
- 1,05
- 41/8
Вопрос 8
эсептегиле:

Варианты ответов
- 1,7
- 5,8(3)
- 5,83
Вопрос 9

Варианты ответов
- -25/18
- -25/36
- 55/6
Вопрос 10
Томонкулордун ичинен тендемени тапкыла?
Варианты ответов
- х-5+3
- 7-х=6
- 5+4=9
Вопрос 11
Томонку тендемеде кайсы компенентбелгисиз болуп сананлат?
х-321=24
Варианты ответов
- кемуучу
- кемитуучу
- айырма
Вопрос 12
Тендеменин тамыры кайсы сан болот?
15-(х-9)=4
Варианты ответов
- 16
- 8
- 20
Получите комплекты видеоуроков + онлайн версии
Пройти тест
Сохранить у себя:
Тесты по математике 6 класс
0
733
Нравится
0


