Брс кр-2
Список вопросов теста
Вопрос 1
Найдите НОД чисел 5859 и 1638
Вопрос 2
Найдите область определения функции \(y=\sqrt{^{x^2-19x+88}}\)
Варианты ответов
-
\(\left(-\infty;8\right)\cup\left(11;+\infty\right)\)
-
\(\left(-\infty;-11\right)\cup\left(-8;+\infty\right)\)
-
\(\left(-\infty;8\right]\cup\left[11;+\infty\right)\)
-
\(\left(-\infty;8\right)\cup\left(8;11\right)\cup\left(11;+\infty\right)\)
Вопрос 3
Вычислите \(\frac{6^{11}}{2^8\times3^{10}}\)
Вопрос 4
Найдите корень уравнения \(\sqrt{9x-36}-6=0\)
Вопрос 5
Решите уравнение \(4^{13-2x}=0,25\)
Вопрос 6
Вычислите \(3^{\log_36+2}\)
Вопрос 7
Найдите корень уравнения \(\lg\left(5x-6\right)=\lg\left(x+42\right)\)
Вопрос 8
Решите неравенство \(\log_2\left(3x-4\right)\ge\log_2\left(4-x\right)\)
Варианты ответов
-
\(\left(2;+\infty\right)\)
-
\(\left[2;+\infty\right]\)
-
\(\left[2;4\right)\)
-
решений нет
Вопрос 9
Найдите значение выражения \(\left(2-\sqrt{14}\right)\left(\sqrt{14}+2\right)\)
Вопрос 10
Найдите значение выражения \(9\cos120^{\circ}-3\sin390^{\circ}+3\operatorname{ctg}135^{\circ}\)
Вопрос 11
Упростите, используя формулы приведения 
Вопрос 12
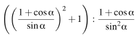
Вычислите 
Вопрос 13
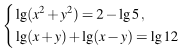
Решите систему уравнений 
Пару чисел запишите в виде (a;b). Если таких пар несколько, то запишите их через точку с запятой без пробелов.


