Бином Ньютона. Треугольник Паскаля
Арнович Анна Николаевна
22.03.2020.
Тест. Алгебра, Прочее
Тест по учебной дисциплине Математика для обучающихся 1 курса СПО.
Система оценки:
5***** балльная
Список вопросов теста
Вопрос 1
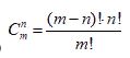
Как называются соединения, каждое из которых содержит n элементов, взятых из данных m разных элементов, и которые отличаются друг от друга по крайней мере одним элементом?
Варианты ответов
- Сочетаниями из m элементов по n в каждом
- Перестановками из m элементов по n в каждом
- Размещениями из m элементов по n элементов
Вопрос 2
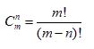
Выберите верную формулу.
Варианты ответов
Вопрос 3
С помощью чего можно легко найти биномиальные коэффициенты?
Варианты ответов
- С помощью треугольника Паскаля
- С помощью прямоугольника Паскаля
- С помощью многоугольника Паскаля
- С помощью квадрата Паскаля
Вопрос 4
Используя треугольник Паскаля вычислите сумму.
Вопрос 5
Используя треугольник Паскаля вычислите сумму.
Вопрос 6
Вычислите с помощью треугольника Паскаля 4-е слагаемое в разложении
Вопрос 7
Какое из выражений является разложением бинома (x - 2)4?
Варианты ответов
Вопрос 8
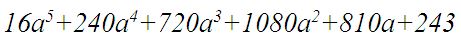
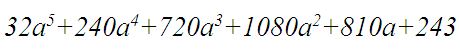
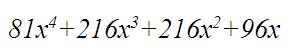
Записать разложение бинома
Варианты ответов
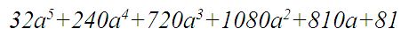
Вопрос 9
Записать разложение бинома
Варианты ответов
Вопрос 10
Укажите 7-ой член в разложении бинома
Внимание: переменная вводится в русской раскладке строчными буквами
Получите комплекты видеоуроков + онлайн версии
Пройти тест
Сохранить у себя:
Тесты по алгебре Прочее
0
2298
Нравится
0


