Базы данных. СУБД
Клюжина Анна Романовна
29.03.2020.
Тест. Информатика, 11 класс
Тест на закрепление знаний по темам "Базы данных, "Системы управления базами данных"
Система оценки:
5 балльная
Список вопросов теста
Вопрос 1
База данных, в которой объекты представляются в виде прямоугольных таблиц, состоящих из строк и столбцов, называется:
Варианты ответов
- реляционной
- иерархической
- сетевой
Вопрос 2
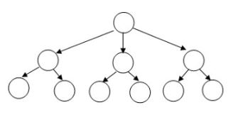
Какая модель данных представлена на рисунке?
Варианты ответов
- сетевая
- иерархическая
- реляционная
Вопрос 3
Какие типы данных могут быть использованы в реляционной базе данных? (выберите несколько вариантов ответа)
Варианты ответов
- числовой
- текстовый
- счетчик
- логический
- аналоговый
- дата
- отношение
- комбинированный
Вопрос 4
Что из перечисленного относится к объектам базы данных? (выберите несколько ответов)
Варианты ответов
- таблица
- форма
- запрос
- отчет
- гиперссылка
- путь к файлу
- ячейка
- строка
Вопрос 5
Для чего предназначены формы?
Варианты ответов
- для удобства ввода информации в базу
- для поиска информации в базе
- для хранения информации в базе
Вопрос 6
Какая из приведенных последовательностей отсортирована в порядке возрастания?
Варианты ответов
- 10.12.96, 02.12.96, 02.11.98, 14.02.96
- 1mother, moother, motter, mother
- 1mama, 9a, 10a, mama, mama1
Вопрос 7
Результаты тестирования представлены в таблице. Сколько записей в ней удовлетворяют условию:
«Пол = ‘ж’ ИЛИ Физика < Биология»?
Вопрос 8
Сколько записей в нижеследующем фрагменте турнирной таблицы удовлетворяют условию:
«Место <= 5 И (В > 4 ИЛИ MЗ > 12)»
Получите комплекты видеоуроков + онлайн версии
Пройти тест
Сохранить у себя:
Тесты по информатике 11 класс
0
520
Нравится
0


