Алгоритмы и элементы программирования
Список вопросов теста
Вопрос 1
Определите значение переменной c после выполнения следующего фрагмента программы:
a := 6;
b := 15;
a := b – a*2;
if a > b then c := a + b else c := b – a;
Варианты ответов
- 33
- 12
- 18
- -3
Вопрос 2
Какое определение можно использовать для разветвляющегося алгоритма?
Варианты ответов
- Алгоритм, в котором есть хотя бы одно условие
- Алгоритм, в котором одни и те же действия исполняются многократно
- Алгоритм, который может быть записан с помощью набора геометрических фигур
- Алгоритм, в котором команды выполняются последовательно друг за другом
Вопрос 3
Какой тип алгоритма используется для вычисления площади треугольника по известным длинам его трёх сторон?
Варианты ответов
- Линейный
- Циклический
- Любой
- Разветвляющийся
Вопрос 4
Определите значение переменной y, которое будет получено в результате выполнения следующей программы:
var y:real; i:integer;
begin
y:=0; i:=5;
while i>2 do begin
i:=i-1;
y:=y+i*i;
end;
end.
Вопрос 5
Какой из документов может считаться алгоритмом?
Варианты ответов
- Инструкция по приготовлению пищи
- Правила техники безопасности
- Список книг в школьной библиотеке
Вопрос 6
Какую смысловую нагрузку несет блок, изображаемый Ромбом?
Варианты ответов
- Логический блок
- Блок обработки
- Блок ввода-вывода
- Блок начала-конца алгоритма
Вопрос 7
Определите значение целочисленных переменных x, y и t после выполнения фрагмента программы:
x := 5;
y := 7;
t := x;
x := y mod x;
y := t;
Варианты ответов
- x=5, y=5, t=5
- x=2, y=5, t=5
- x=2, y=2, t=2
- x=7, y=5, t=5
Вопрос 8
У исполнителя Калькулятор две команды, которым присвоены номера:
1. прибавь 2
2. умножь на 3
Выполняя первую из них, Калькулятор прибавляет к числу на экране 2, а выполняя вторую, утраивает его. Запишите порядок команд в программе получения из 0 числа 28, содержащей не более 6 команд, указывая лишь номера команд.
(Например, программа 21211 – это программа:
умножь на 3
прибавь 2
умножь на 3
прибавь 2
прибавь 2,
которая преобразует число 1 в 19).
Вопрос 9
Определите значение переменной y, которое будет получено в результате выполнения следующей программы:
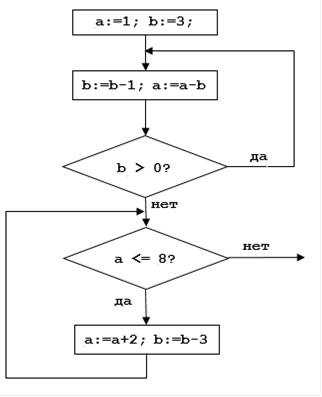
Вопрос 10
Определите значение переменной b после выполнения фрагмента алгоритма.


