Алгоритмизация и программирование
Автор скрыт
15.05.2020.
Тест. Информатика, 10 класс
Разделы: основные алгоритмические структуры, основные команды Паскаль, типы данных, команды целочисленного деления
Система оценки:
5 балльная
Список вопросов теста
Вопрос 1
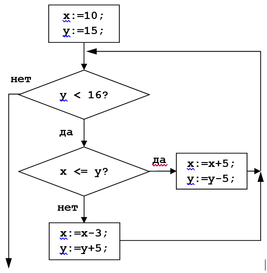
Запишите результат выполнения алгоритма. Если вывод осуществляется несколько раз, то результаты пишите через пробел.
Вопрос 2
Какие операторы не могут быть выполнены в теле цикла с указанным заголовком?
for i:=1 to n do
Варианты ответов
- i:=i-1;
- t:=i+2;
- n:=n-1;
- t:=n-i;
- i:=2*t-1;
Вопрос 3
Выберите верные утверждения.

Варианты ответов
- Алгоритм заполнения с использованием формулы реализуется в двух примерах
- Есть пример, в теле цикла которого всего 3 действия
- Алгоритмы всех примеров выполняют заполнение массивов
- В примере №1 формируется самый длинный массив
- Есть пример, в котором массив состоит только из четных чисел
- Только в двух пример заполнение массива выполняется по условию
Вопрос 4
Сколько раз выполнится команда z=x*y в следующей блок-схеме?

Вопрос 5
Выберите вариант значений, которые получатся в результате выполнения алгоритма:

Варианты ответов
- x = 11, y = 5
- x = 5, y = 11
- x = 10, y = 5
- x = 5, y = 10
Вопрос 6
Определите значение переменной x и y после выполнения алгоритма. В ответ напишите большее значение из полученных.

Вопрос 7
Сколько строк будет занято результатом работы программы?

Вопрос 8

Вопрос 9
Чему будет равно значение переменной x после выполнения данной последовательности команд?

Вопрос 10
Выберите верные утверждения относительно следующей программы.

Варианты ответов
- В результате на экране появится число 40
- В теле цикла 2 действия
- В результате значение переменной r=12
- В программе используется цикл с параметром
- Переменные p, r являются целочисленными
Получите комплекты видеоуроков + онлайн версии
Пройти тест
Сохранить у себя:
Тесты по информатике 10 класс
0
136
Нравится
0



