Алгоритмизация и программирование
Список вопросов теста
Вопрос 1
Как называется алгоритмическая конструкция, в которой в зависимости от условий может выполняться либо одно, либо другое действие?
Варианты ответов
- Линейная
- Разветвляющаяся
- Циклическая
Вопрос 2
Какие из команд принадлежат алгоритмическому языку?
Варианты ответов
- нц
- рц
- кц
- нач
- нг
- кон
- пц
Вопрос 3
Расположите этапы решения задачи на компьютере в правильном порядке
Варианты ответов
- Постановка задачи
- Формализация
- Алгоритмизация
- Программирование
- Отладка, тестирование
- Результат
Вопрос 4
Запишите значение переменной b после выполнения фрагмента алгоритма:
a:=3;
b:=10;
a:= b-a*2;
b:=a*2+b;
Варианты ответов
- 17
- 16
- 18
- 14
Вопрос 5
Переменная в программировании считается полностью заданной, если известны её...
Варианты ответов
- тип, имя
- имя, значение
- тип, значение
- тип, имя, значение
Вопрос 6
Знак присваивания в программировании это:
Варианты ответов
- =
- <=
- :=
- =>
Вопрос 7
Алгоритм какого типа описан на алгоритмическом языке?
Алг
нач вещ а, в, х
х:=а+в
х:=в-2*а
кон
Варианты ответов
- циклический
- разветвляющийся
- линейный
- вспомогательный
Вопрос 8
Запишите значение переменной b после выполнения фрагмента алгоритма:
a:=5;
b:=8;
если a>b то b:= a+b-5
иначе b:=a*b-30;
Варианты ответов
- 8
- 10
- 18
- 15
Вопрос 9
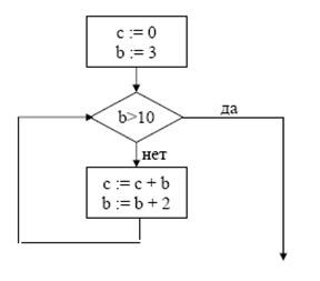
Определите значение переменной c после выполнения данного алгоритма
Вопрос 10
Знак «не равно» в программировании это:
Варианты ответов
- Не=
- <>
- ><
- ≠


