Алгоритмизация
Список вопросов теста
Вопрос 1
Определите значения переменных x=-1 и y=4 после выполнения фрагмента алгоритма:

В ответе укажите значения x и y через запятую (пример: если x=1 и y=3, то в ответе запишем 1,3)
Вопрос 2
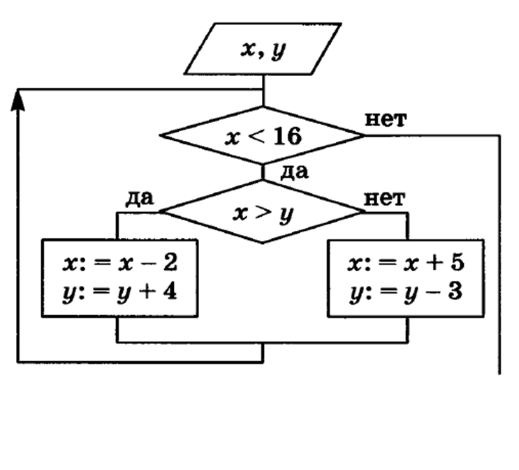
Определите значения переменных x=9 и y=5 после выполнения фрагмента алгоритма:

В ответе укажите значения x и y через запятую (пример: если x=1 и y=3, то в ответе запишем 1,3)
Вопрос 3
Царевна-лягушка съедает ежедневно на 20% комаров больше, чем в предыдущий день, и ещё 2 комара. Через сколько дней количество съедаемых в день комаров превысит 30, если в первый день было съедено 12 комаров.
Пусть d — номер текущего дня, k — количество комаров, съеденных в этот день.

Вопрос 4
К какому виду алгоритмов можно отнести алгоритм, схема которого представлена ниже?

Варианты ответов
- Цикл с параметром
- Цикл с заданным условием продолжения работы
- Цикл с заданным условием окончания работы
- Цикл с заданным числом повторений
Вопрос 5
К какому виду алгоритмов можно отнести алгоритм, схема которого представлена ниже?

Варианты ответов
- Цикл с параметром
- Цикл с заданным условием продолжения работы
- Цикл с заданным условием окончания работы
- Цикл с заданным числом повторений


