Алгоритм_2
Список вопросов теста
Вопрос 1
Алгоритм включает в себя ветвление, если...
Варианты ответов
- он составлен так, что его выполнение предполагает многократное повторение одних и тех же действий
- ход его выполнения зависит от истинности тех или иных условий
- его команды выполняются в порядке их естественного следования друг за другом независимо от каких-либо условий
- он представим в табличной форме
- он включает в себя вспомогательный алгоритм
Вопрос 2
Алгоритм - это...
Варианты ответов
- протокол вычислительной сети
- набор команд для компьютера
- описание последовательности действий, строгое исполнение которых приводит к решению поставленной задачи за конечное число шагов
- ориентированный граф, указывающий порядок выполнения некоторого набора команд
- правила выполнения определенных действий
Вопрос 3
Проверка условия выполняется в геометрической фигуре...
Варианты ответов
- ромб
- треугольник
- параллелограмм
- прямоугольник
Вопрос 4
В результате выполнения фрагмента программы:
а:=5;
b:=20;
а:=а-b/2;
if а>b then с:=а+b
else с:=b-а;
переменная с примет значение...
Варианты ответов
- 25
- 14,5
- - 15
- - 14,5
Вопрос 5
Служебное слово IF в условном операторе переводится как...
Варианты ответов
- иначе
- тогда
- если
- ввод
Вопрос 6
В программе «:=» обозначает оператор присваивания, знаки «+», «-», «*» и «/» — соответственно операции сложения, вычитания, умножения и деления. Правила выполнения операций и порядок действий соответствуют правилам арифметики. Определите значение переменной a после выполнения алгоритма:
а := 2
b := 4
b := a/2*b
a := 2*а + 3*b
В ответе укажите одно целое число — значение переменной a.
Вопрос 7
В алгоритме, записанном ниже, используются переменные a и b. Символ «:=» обозначает оператор присваивания, знаки «+», «-», «*» и «/» — соответственно операции сложения, вычитания, умножения и деления. Правила выполнения операций и порядок действий соответствуют правилам арифметики. Определите значение переменной a после выполнения алгоритма:
a := 10
b := 5
b := 100 + a/b
a := b/6*a
В ответе укажите одно целое число — значение переменной a.
Вопрос 8
У исполнителя Делитель две команды, которым присвоены номера:
1. раздели на 2
2. вычти 3
Первая из них уменьшает число на экране в 2 раза, вторая уменьшает его на 3. Исполнитель работает только с натуральными числами. Составьте алгоритм получения из числа 41 числа 4, содержащий не более 5 команд. В ответе запишите только номера команд. (Например, 11122 — это алгоритм: раздели на 2, раздели на 2, раздели на 2, вычти 3, вычти 3, который преобразует число 88 в 5.) Если таких алгоритмов более одного, то запишите любой из них.
Вопрос 9
У исполнителя Квадратор две команды, которым присвоены номера:
1. возведи в квадрат
2. прибавь 1
Первая из них возводит число на экране во вторую степень, вторая — прибавляет к числу 1. Исполнитель работает только с натуральными числами. Составьте алгоритм получения из числа 1 числа 26, содержащий не более 5 команд. В ответе запишите только номера команд. (Например, 21221 — это алгоритм: прибавь 1, возведи в квадрат, прибавь 1, прибавь 1, возведи в квадрат, который преобразует число 1 в 36.) Если таких алгоритмов более одного, то запишите любой из них.
Вопрос 10
У исполнителя Квадратор две команды, которым присвоены номера:
1. зачеркни справа
2. возведи в квадрат
Первая из них удаляет крайнюю правую цифру на экране, вторая — возводит число во вторую степень . Составьте алгоритм получения из числа 3 числа 6, содержащий не более 5 команд. В ответе запишите только номера команд. (Например, 12121 — это алгоритм зачеркни справа, возведи в квадрат, зачеркни справа, возведи в квадрат, зачеркни справа, который преобразует число 73 в 1.) Если таких алгоритмов более одного, то запишите любой из них.
Вопрос 11
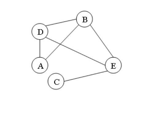
На схеме отражено наличие дорог между пятью городами: A, B, C, D и E. Укажите таблицу, соответствующую схеме (единица на пересечении строки и столбца указывает на наличие дороги между городами).
Варианты ответов
Вопрос 12
В таблице приведена стоимость перевозок между пятью железнодорожными станциями, обозначенными буквами A, B, C, D и E. Укажите схему, соответствующую таблице.
Варианты ответов
Вопрос 13

Определите значение С на выходе блок-схемы, если А=45, В=51
Варианты ответов
- 6
- 96
- 8
- 9
Вопрос 14
При выполнении фрагмента программы:
if a<4 then
if b>3 then с:=4
else c:=5
else c:=6;
переменная с примет значение 4, если:
Варианты ответов
- а = 5, b = 3
- а = 1, b = 4
- а = 1, b = 3
- а = 4, b = 1


