Алгебраические дроби. Вариант 1
Автор скрыт
19.10.2021.
Тест. Алгебра, 9 класс
Тест направлен на проверку знаний учащихся по теме
Система оценки:
10* балльная
Список вопросов теста
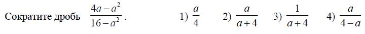
Вопрос 1

Варианты ответов
- 1
- 2
- 3
- 4
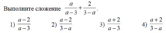
Вопрос 2

Варианты ответов
- 1
- 2
- 3
- 4
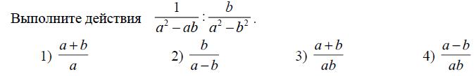
Вопрос 3

Варианты ответов
- 1
- 2
- 3
- 4
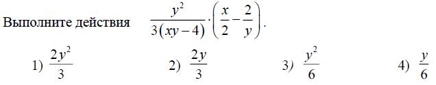
Вопрос 4

Варианты ответов
- 1
- 2
- 3
- 4
Вопрос 5

Варианты ответов
- 1
- 2
- 3
- 4
Вопрос 6

Варианты ответов
- 1
- 2
- 3
- 4
Вопрос 7

Варианты ответов
- 1
- 2
- 3
- 4
Вопрос 8

Варианты ответов
- 1
- 2
- 3
- 4
Вопрос 9

Варианты ответов
- 1
- 2
- 3
- 4
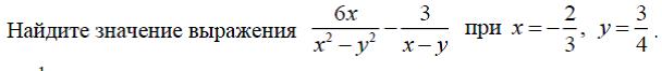
Вопрос 10
1) -12 2) -36 3) 12 4) 36
Варианты ответов
- 1
- 2
- 3
- 4
Получите комплекты видеоуроков + онлайн версии
Пройти тест
Сохранить у себя:
Тесты по алгебре 9 класс
0
364
Нравится
0


