Алгебра
Автор скрыт
06.05.2020.
Тест. Алгебра, Прочее
Тест по теме: Показательная и логарифмическая функции
Система оценки:
5* балльная
Список вопросов теста
Вопрос 1
Какое из следующих уравнений является показательными?
Варианты ответов
Вопрос 2
Какие из перечисленных показательных функций являются убывающими?
Варианты ответов
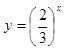
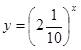
Вопрос 3
Функция
является
Варианты ответов
- Возрастающей
- Убывающей
- Периодической
- Четной
Вопрос 4
Найти корень уравнения 4х = 64
Варианты ответов
- 4
- 3
- 2
- 1
Вопрос 5
Решить уравнение 
Варианты ответов
- 0
- 3
- 1
- -1
Вопрос 6
Найдите значение выражения 
Варианты ответов
- 6
- 12
- 1
- 64
Вопрос 7
Найдите значение выражения
Варианты ответов
- 32
- 16
- 8
- 36
Вопрос 8
Найдите значение выражения
Варианты ответов
- 1
- -1
- 10
- 2
Вопрос 9
Решите уравнение 2х+5 = 0,25
Варианты ответов
- -2
- 4
- -3
- -7
Вопрос 10
Решите неравенство (0,8)х+1<1
Варианты ответов
- (-1;+∞)
- (0; +∞)
- (1; +∞)
- (- ∞;0,6)
Вопрос 11
Решите неравенство 52х-4 < 5х+3.
Варианты ответов
- (-1; +∞)
- (- ∞;7)
- (- ∞;-7)
- (- ∞;-1)
Вопрос 12
Найдите значение выражения: 
Варианты ответов
- 1
-

- 0
-

Вопрос 13
Найдите значение выражения:
Варианты ответов
- 0
- 5
- 1
-

Вопрос 14
Решите уравнение: 
Варианты ответов
- 0
- -1
- 2
- 1
Вопрос 15
Решите уравнение: 
Варианты ответов
- 0
- 1,5
- -4,5
- 4,5
Вопрос 16
Найдите область определения функции 
Варианты ответов
- [-3;3];
- (-3;3)
Вопрос 17

Варианты ответов
- x <3
- x>2
- x>3
- x>0.
Вопрос 18

Варианты ответов
- (-7; 3)
- (-2; 2)
Получите комплекты видеоуроков + онлайн версии
Пройти тест
Сохранить у себя:
Тесты по алгебре Прочее
0
486
Нравится
1













