8 кл. 15. Тест. Объекты алгоритмов. Выражения
Список вопросов теста
Вопрос 1
Какие величины могут включать выражения?
Выберите несколько из 5 вариантов ответа:
Варианты ответов
- Переменные.
- Литерные величины.
- Константы.
- Функции.
- Символьные величины.
Вопрос 2
Какие выражения называются строковыми?
Выберите один из 3 вариантов ответа:
Варианты ответов
- выражения, которые состоят из величин (констант, переменных) символьного типа, соответствующих функций и операций сцепления (присоединения).
- выражения, которые состоят из величин (констант, переменных) символьного и литерного типов, соответствующих функций и операций сцепления (присоединения).
- выражения, которые состоят из констант, переменных любого типа, соответствующих функций и операций сцепления (присоединения).
Вопрос 3
Укажите порядок выполнения операций в выражении
Укажите порядок следования всех 5 вариантов ответа:
Варианты ответов
- Вычисляются выражения в скобках.
- Вычисляются функции.
- Изменение знака, возведение в степень
- Выполняется умножение и деление.
- Выполняется сложение и вычитание.
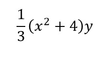
Вопрос 4
Какая запись соответствует записи на алгоритмическом языке данного выражения.
Изображение:

Выберите один из 4 вариантов ответа:
Варианты ответов
- 1 / 3 (x^2 + 4) * y
- 1 / 3 * (sqrtx + 4) * y
- 1 / 3 * (x^2 + 4) y
- 1 / 3 * (sqrx + 4) * y
Вопрос 5
Выражение - это
Выберите один из 3 вариантов ответа:
Варианты ответов
- языковая конструкция для поиска значений с помощью переменных.
- языковая конструкция для поиска значений с помощью операндов.
- языковая конструкция для задания значений с помощью операндов.
Вопрос 6
Какие бывают виды выражений?
Выберите несколько из 5 вариантов ответа:
Варианты ответов
- Переменные
- Арифметические
- Логические
- Строковые
- Функции
Вопрос 7
На каком промежутке принимает истинное значение данное логическое выражение: (x>5) и (x<9)
Выберите один из 4 вариантов ответа:
Варианты ответов
- [5; 8)
- (5; 8)
- (5; 8]
- [5; 8]
Вопрос 8
Какое выражение называется логическим?
Выберите один из 3 вариантов ответа:
Варианты ответов
- выражение, которое определяет некоторые условия.
- выражение, которое описывает некоторые условия, которые могут удовлетворяться или не удовлетворяться.
- последовательность числовых констант, переменных, математических функций, соединённых знаками арифметических операций и круглыми скобками.
Вопрос 9
Какое выражение называются арифметическими?
Выберите один из 3 вариантов ответа:
Варианты ответов
- последовательность символьных переменных, математических функций, соединённых знаками арифметических операций и круглыми скобками.
- последовательность числовых констант, переменных, математических функций, перечисленных через точку с запятой.
- последовательность числовых констант, переменных, математических функций, соединённых знаками арифметических операций и круглыми скобками.
Вопрос 10
Как в алгоритмах обозначается √х?
Выберите один из 3 вариантов ответа:
Варианты ответов
- abc(x)
- sqrt(x)
- sqr(x)


