3 Вариант ОГЭ
Самарина Светлана Дмитриевна
02.05.2020.
Тест. Математика, 9 класс
В тесте содержится 21 задание, 20 заданий из 1 части и одно задание из второй части ОГЭ, на тест отводится 80 минут.
Система оценки:
5* балльная
Список вопросов теста
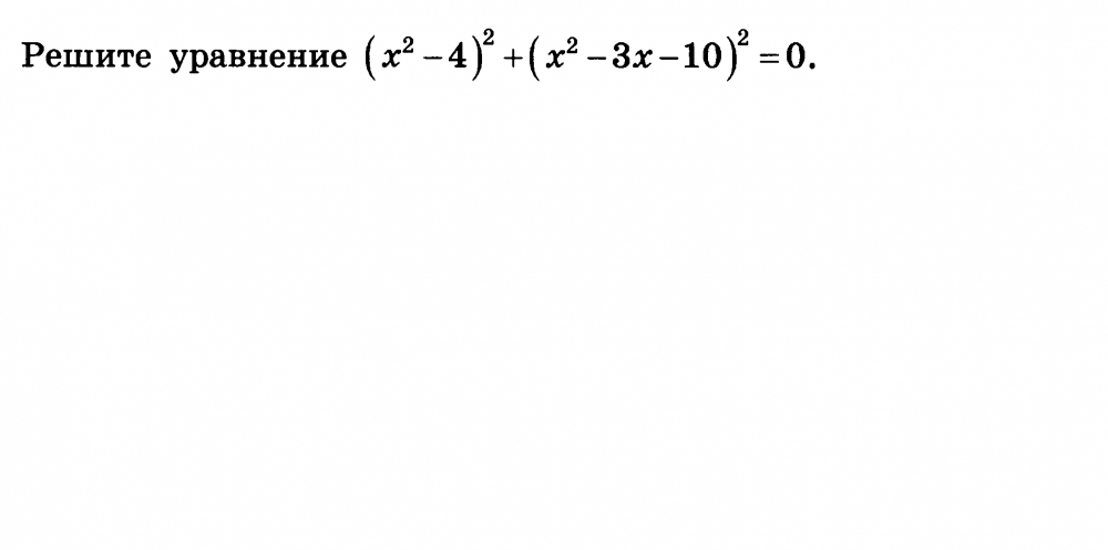
Вопрос 1


Вопрос 2


Вопрос 3


Вопрос 4


Вопрос 5


Вопрос 6

Вопрос 7

Вопрос 8

Вопрос 9

Вопрос 10

Вопрос 11

Вопрос 12

Вопрос 13

Вопрос 14

Вопрос 15

Вопрос 16

Вопрос 17

Вопрос 18

Вопрос 19

Вопрос 20

Вопрос 21

Получите комплекты видеоуроков + онлайн версии
Пройти тест
Сохранить у себя:
Тесты по математике 9 класс
0
253
Нравится
0


