16.11.2017 умножение одночленов
Михальченко Светлана Васильевна
15.11.2017.
Тест. Математика, 7 класс
тест по теме умножение многочленов
проверка знаний по данной теме
Система оценки:
10 балльная
Список вопросов теста
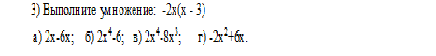
Вопрос 1

Варианты ответов
- а) и в)
- б)
- а)
- в) и г)
Вопрос 2

Варианты ответов
- а)
- в)
- г)
- б)
Вопрос 3

Варианты ответов
- а)
- б)
- в)
- г)
Вопрос 4

Варианты ответов
- а)
- б)
- в)
- г)
Вопрос 5

Варианты ответов
- -6
- 6
- 15
- -15
Получите комплекты видеоуроков + онлайн версии
Пройти тест
Сохранить у себя:
Тесты по математике 7 класс
0
788
Нравится
0


