16.03.21 Повторение. 6 класс.
Нуртаева Зарима Абаскановна
15.03.2021.
Тест. Математика, 6 класс
Тест содержит задания на решение неравенств и их систем.
Система оценки:
10* балльная
Список вопросов теста
Вопрос 1
Решением неравенства 3х
Варианты ответов
- (9;+∞ )
- (-∞;9]
- (-9;∞)
- (+∞;9)
Вопрос 2
Решите неравенство 3х-5,4
Варианты ответов
- (2,3;+∞ )
- (-9;∞)
- ( -∞;0,3 ]
- [3,7;+∞ )
Вопрос 3
Решением неравенства 3х
Варианты ответов
- (0;+∞)
- (-5;+ ∞)
- (-7;+ ∞)
- (-∞;-7)
Вопрос 4
Выберите верное решение системы неравенств:

Варианты ответов
- (2; 3)
- (-∞; 2)
- (2; +∞)
- (-∞; 3)
- (3; +∞)
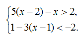
Вопрос 5
Выберите верное решение системы неравенств:

Варианты ответов
- (-1,5; 0,2)
- (-∞; -1,5)
- (0,2; +∞)
- (-∞; +∞)
- нет решений
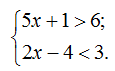
Вопрос 6
Выберите верное решение системы неравенств:

Варианты ответов
- (1; 3,5)
- (-∞; 1)
- (3,5; +∞)
- (-∞; +∞)
- нет решений
Получите комплекты видеоуроков + онлайн версии
Пройти тест
Сохранить у себя:
Тесты по математике 6 класс
0
370
Нравится
0


