11А-2 класс. Электростатика. Формулы.
Список вопросов теста
Вопрос 1
Закон сохранения электрического заряда: в электрически изолированной системе алгебраическая сумма электрических зарядов остается постоянной.
Варианты ответов
Вопрос 2
Потенциалом поля в данной точке называется скалярная величина, численно равная потенциальной энергии Wn единичного положительного заряда, помещенного в эту точку. Потенциал ϕ электростатического поля является его энергетической характеристикой.
Варианты ответов
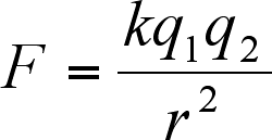
Вопрос 3
Принцип суперпозиции электрических полей: напряженность электрического поля системы зарядов равна векторной сумме напряженностей полей, связанных с каждым из них в отдельности.
Варианты ответов
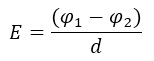
Вопрос 4
Формула, связывающая напряженность электрического поля и разность потенциалов.
Варианты ответов
Вопрос 5
Энергия заряженного конденсатора сосредоточена в электрическом поле между его обкладками.
Варианты ответов
Вопрос 6
Электроемкость плоского конденсатора.




















