11 класс ЕМН СОЧ-1-2020
Список вопросов теста
Вопрос 1
К какому времени относятся первые упоминания об искусственно созданных человекоподобных существах?
Варианты ответов
-
Период до н.э. (в источниках Древнего Египта)
-
Период Возрождения (в трудах Да Винчи)
-
XX век (в материалах, появившихся после возникновения обучающих алгоритмов)
Вопрос 2
Кроме рисования искусственный интеллект научился разбираться в музыке. Но насколько хорошо работает программа по определению музыкальных стилей? Как вы думаете, сможет ли такая программа справиться с заданием типа «Угадай мелодию» в режиме реального времени?
Варианты ответов
-
Да, лучше, чем программа, написанная вручную
-
Да, но программа написанная вручную будет точнее
-
Нет, в режиме реального времени программа не справится
Вопрос 3
Способен ли ИИ сравниться с человеческим интеллектом в общей совокупности способностей?
Варианты ответов
-
Нет, пока этот уровень недостижим
-
Нет, но технология уже близка к уровню мозга человека
-
Да, и уже идёт работа над созданием искусственного сверхразума
Вопрос 4
Ещё одной сферой применения ИИ является искусство. Уже существует приложение, которое умеет превращать картины Моне в фотографии. Следующим шагом стало обучение собственно рисованию. Новая программа от Google научилась рисовать на основе эскизов, сделанных людьми. Что при этом учитывала программа?
Варианты ответов
-
Стиль и цветовую гамму, типичную для похожих изображений
-
Только конечный результат
-
Концепцию (идею) рисунка
Вопрос 5
Что такое итерация?
Варианты ответов
-
Организация обработки данных, при которой действия повторяются.
-
Ввод данных
-
Вывод результата
-
Проверка выполняемого условия
Вопрос 6
Что представляет собой память ИНС?
Варианты ответов
-
Веса искусственных нейронов
-
Веса синапсов
-
Скрытый слой
Вопрос 7
Что представляет собой память живых существ?
Варианты ответов
-
Связи различной толщины между нейронами
-
Входная информация
-
Обработанная информация
Вопрос 8
Какое действие пропущено в схеме нейронной сети?

Варианты ответов
-
Выходная информация
-
Входная информация
-
Обработанная информация
Вопрос 9
Назовите классификацию интеллектуальной системы?

Варианты ответов
-
Экспертная система реального времени
-
Искусственная нейронная сеть
-
Система с генетическими алгоритмами
-
Ситемы на естественном языке
Вопрос 10
Назовите классификацию интеллектуальной системы?

Варианты ответов
-
Искусственная нейронная сеть
-
Система с генетическими алгоритмами
-
Экспертная система реального времени
Вопрос 11
Назовите классификацию интеллектуальной системы?

Варианты ответов
-
Система на естественном языке
-
Экспертная система реального времени
-
Система с генетическим алгоритмом.
Вопрос 12
Какое значение имеет слово "intelligence" в словосочетании "artificial intelligence" ?
Варианты ответов
-
Умение рассуждать разумно
-
Умение автоматически думать
-
Элементарные умения задумываться
-
Умение мыслить неосознанно
-
Умение мыслить сознательно
Вопрос 13
Что такое нейрон?
Вопрос 14
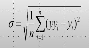
Что расчитывает данная формула?
Вопрос 15
Назовите вид ИНС.

Вопрос 16
Назовите вид ИНС.

Вопрос 17
Когда говорят об искусственном интеллекте можно услышать о процессе обучения
нейронной сети. Напишите, что на схеме написано вместо цифры 1?

Варианты ответов
- - выбор примера
- - ответ сети
- -ошибка мала
Вопрос 18
Когда говорят об искусственном интеллекте можно услышать о процессе обучения
нейронной сети. Напишите, что на схеме написано вместо цифры 2?

Варианты ответов
- - выбор примера
- - ответ сети
- -ошибка мала
- -ошибка велика
- -ошибки нет
Вопрос 19
Напишите название классификации интеллектуальной системы:

Варианты ответов
- - это система на естественном языке
- -это экспериментальная система реального времени
- - это система с генетическими алгоритмами
- - это искусственная нейронная сеть
Вопрос 20
Что является результатом обученности нейронной сети?
Варианты ответов
- - ошибка рано нулю
- - ошибка рано пяти
- - ошибка рано бесконечности


