0-срез. Математика
Список вопросов теста
Вопрос 1
−15+9 өрнегінің мәні:
Варианты ответов
- 24
- -24
- -6
- 6
- 4
Вопрос 2
72 : (−9) өрнегінің мәні:
Варианты ответов
- -8
- 8
- -63
- 63
- 81
Вопрос 3
(−3)⋅(−7)⋅(−10) өрнегінің мәні:
Варианты ответов
- -210
- 210
- -100
- 100
- 0
Вопрос 4
\(\frac{x}{12}=\frac{80}{120}\) пропорция орындалатындай, x-тің мәнін табыңыз.
Варианты ответов
- 24
- 6
- 8
- 12
- 4
Вопрос 5
–9,1 саны мен –5,7 санының арасында жатқан барлық бүтін сандарды жазыңыз.
Варианты ответов
- (-4,-3,-2, -1, 0)
- (-∞;+∞)
- (-9,-8,-7,-6 )
- (5, 6, 7, 8, 9)
- (-8, -7, -6, -5)
Вопрос 6
Координата жазықтығындағы АВ түзуінің В нүктесінің координаталарын жаз.
Варианты ответов
- (4;2)
- (-2:-2)
- (-2;4)
- (-4; 2)
- (-2; -4)
Вопрос 7
Берілген тізбектен сандардың модасын тап: 11, 22, 29, 35, 41, 29, 47, 33, 28
Варианты ответов
- 41
- 35
- 28
- 47
- 29
Вопрос 8
−3(x−12)= −36 теңдеуін шешіңіз.
Варианты ответов
- 0
- 12
- -12
- 3
- 4
Вопрос 9
−2(y+6) өрнегін ашыңыз:
Варианты ответов
- −2y+6
- −2y+12
- −2y−12
- 2y−12
- 2y+12
Вопрос 10
5(a−2) өрнегін ашыңыз:
Варианты ответов
- 5a−2
- a−10
- 5a−10
- 5a+2
- 5a+10
Вопрос 11
3(x+4) өрнегін ашыңыз:
Варианты ответов
- 3x+7
- 3x+12
- x+12
- 3x+4
- x+7
Вопрос 12
4(2x−5) өрнегін ашыңыз:
Варианты ответов
- 2x−20
- 8x−5
- 8x−20
- 6x−20
- 8x+20
Вопрос 13
\(\frac{3}{4}•\frac{8}{9}\)көбейтіндісін табыңыз.
Варианты ответов
- 24/36
- 27/36
- 4/3
- 1/6
- 2/3
Вопрос 14
\(-\frac{2}{5}•\frac{15}{4}\) мәнін табыңыз.
Варианты ответов
- -30/20
- 30/20
- 3/2
- -3/2
- -5/6
Вопрос 15
0⋅(−17) көбейтіндісін табыңыз:
Варианты ответов
- 17
- -17
- 1
- -1
- 0
Вопрос 16
Екі санның қосындысы 10-ға, айырмасы 2-ге тең. Белгісіз екі санды табыңыз.
Варианты ответов
- (6;4)
- (4;6)
- (5;5)
- (2;8)
- (8;2)
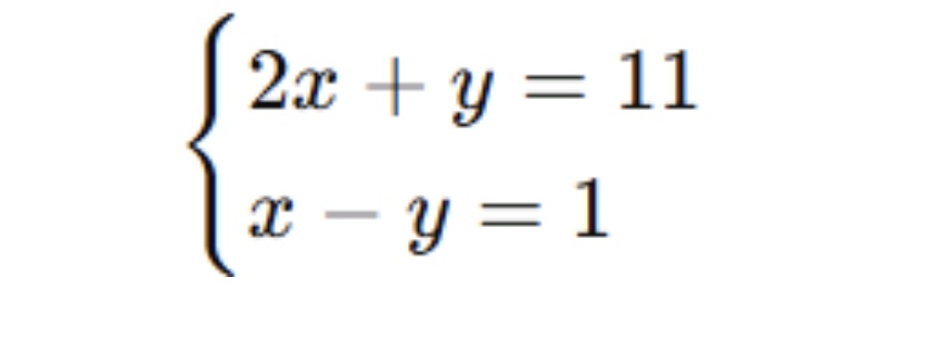
Вопрос 17
Жүйені шешіңіз:

Варианты ответов
- (5;1)
- (4;3)
- (6;5)
- (3;2)
- (2;3)
Вопрос 18
Жақшаны ашыңыз:
2(a−10)+30c
Варианты ответов
- 2a−10+30c
- 2a−20+30c
- 2a−20c+30
- a−20+30ca
- 2a+20+30c
Вопрос 19
Екі санның қосындысы 12-ге, айырмасы 4-ке тең. Белгісіз екі санды табыңыз.
Варианты ответов
- (6;6)
- (10;2)
- (8;4)
- (4;8)
- (12;0)
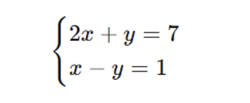
Вопрос 20
Жүйені шешіңіз:

Варианты ответов
- (3;1)
- (2;3)
- (4;2)
- (1;3)
- (3;2)


