Примерное время на выполнение заданий – 90 минут.
Инструкция для учащихся.
Во всех заданиях, если специально не оговорено в условии, сопротивлением воздуха при движении тел следует пренебречь.
В заданиях 5 — 10 искомые величины должны быть вычислены в системе СИ (если другого не оговорено в условии). Если в результате вычислений получается не целое число и если специально не оговорено в условии задания, то округлите его до целого, пользуясь правилами приближенных вычислений, и в бланк ответов запишите округленное число. Наименование величин (например, градус, процент, метр, тонна, км/ч и т.д.) не пишите. Знаки препинания в конце ответа не ставьте. Между знаком минус и числом пробел не ставится.
Коэффициент
примите равным
(если другого не оговорено в условии).
1. (2 балла) Какая из внесистемных единиц измерения расстояния будет наименьшей?
2. (2 балла) Установите соответствие между единицами измерения физических величин и измерительными приборами, с помощью которых можно измерить данные величины:

3. (3 балла) Мальчик Костя взял два одинаковых стакана. В один из них налил холодную воду, а в другой такой же объем горячей воды, и бросил в каждый стакан одинаковые кристаллики марганцовки. Какое явление изучал Константин?
4. (4 балла) На поверхность воды вылили 4 сантиметра кубических подсолнечного масла, которое растеклось по ней тонкой пленкой, площадью 8 метров квадратных. Найдите толщину этой пленки. Ответ получите в микрометрах (мкм) и запишите его без округления, в виде десятичной дроби, отделяя дробную часть от целой запятой и не используя пробел, например, 1,5
5. (5 баллов) Используя график зависимости массы вещества от его объема, определите плотность этого вещества. Ответ получите в килограммах на метр кубический. Например, 2500

6. (6 баллов) У нас имеется девять одинаковых с виду монет. Одна из них несколько легче остальных (фальшивая).


Сколько минимально взвешиваний на точных рычажных весах нужно произвести, чтобы определить фальшивую монету? В ответе запишите только число. Например, 7
7. (7 баллов) Найдите мощность двигателей ракеты массой 80 кг, если за 20 секунд равномерного подъема она взлетела на высоту 9,2 километра. Ответ получите в лошадиных силах (одну лошадиную силу примите равной 736 Вт). В ответе запишите только число. Например, 800

8. (8 баллов) Разгадайте кроссворд и в выделенных клетках получите слово. Запишите полученное слово в ответе без кавычек и знаков препинания. Например, физика

9. (8 баллов) Найдите объем полости в чугунном шаре объемом 3,5 дециметра кубических, если его масса составляет 21 килограмм. Плотность чугуна примите равной 7 грамм на сантиметр кубический. Ответ получите в метрах кубических и запишите его без округления, в виде десятичной дроби, отделяя дробную часть от целой запятой и не используя пробел, например, 0,0016

10. (10 баллов) Первый мотоцикл первую половину времени своего движения ехал со скоростью 25 метров в секунду, а вторую – со скоростью 54 километра в час. Второй мотоцикл первую половину своего пути проехал со скоростью 25 метров в секунду, вторую половину пути – со скоростью 54 километра в час. Найдите на сколько, средняя скорость первого мотоцикла больше средней скорости второго мотоцикла. Ответ получите в метрах в секунду и запишите его без округлений, в виде десятичной дроби, отделяя дробную часть от целой запятой и не используя пробел, например, 0,0016

Примерное время на выполнение заданий – 90 минут.
Инструкция для учащихся.
Во всех заданиях, если специально не оговорено в условии, сопротивлением воздуха при движении тел следует пренебречь.
В заданиях 5 — 10 искомые величины должны быть вычислены в системе СИ (если другого не оговорено в условии). Если в результате вычислений получается не целое число и если специально не оговорено в условии задания, то округлите его до целого, пользуясь правилами приближенных вычислений, и в бланк ответов запишите округленное число. Наименование величин (например, градус, процент, метр, тонна, км/ч и т.д.) не пишите. Знаки препинания в конце ответа не ставьте. Между знаком минус и числом пробел не ставится.
Коэффициент
примите равным
(если другого не оговорено в условии).
1. (2 балла) С помощью какого прибора можно измерить напряжение на участке цепи?
2. (2 балла) Какие равенства из перечисленных относятся к параллельному соединению n одинаковых проводников? Может быть два и более правильных ответов.
3. (3 балла) Соотнесите название элемента электрической цепи с его обозначением на схеме:

4. (3 балла) По какой из перечисленных формул можно рассчитать удельную теплоту парообразования?
5. (4 балла) Какое явление демонстрирует опыт, показанный на рисунке?
6. (6 баллов) Перед вами находится 16 слов (четыре ряда по четыре слова). Из каждого ряда необходимо выбрать лишнее слово. Затем из первых букв этих слов составить одно четырехбуквенное слово (буквы идут по порядку), которое и нужно записать в ответе без кавычек и знаков препинания, например, физика

7. (7 баллов) Определите, на сколько сила давления, действующая на барабанную перепонку ныряльщика, площадью 0,6 сантиметров квадратных, находящегося на глубине 40 метров в морской воде
, больше чем сила давления, действующая на ту же перепонку, на той же глубине, только в пресной воде
. Ответ запишите без округлений, в виде десятичной дроби, отделяя дробную часть от целой запятой и не используя пробел, например, 0,016

8. (8 баллов) В цилиндрах двигателя с КПД 50 % сгорело 15 литров бензина
. Какую полезную работу может выполнить данный двигатель, если
? Ответ получите в мегаджоулях (МДж), округлив до целого числа, согласно правилам округления. Например, 480

9. (9 баллов) Платиновый брусок имеет массу 172 грамма. Какую массу имел бы ластик такого же объема, если бы его плотность была такой же, как у нейтронной звезды
. Плотность платины примите равной
. Ответ получите в тоннах, например, 1800000000

10. (10 баллов) В бак влили 120 литров холодной воды при температуре
и 50 литров горячей воды при температуре
. Какая конечная температура установится в баке, если тепловые потери составили 20 % теплоты отданной горячей водой? Ответ запишите без округлений, в виде десятичной дроби, отделяя дробную часть от целой запятой и не используя пробел, например, 25,5

Примерное время на выполнение заданий – 90 минут.
Инструкция для учащихся.
Во всех заданиях, если специально не оговорено в условии, сопротивлением воздуха при движении тел следует пренебречь.
В заданиях 5 — 10 искомые величины должны быть вычислены в системе СИ (если другого не оговорено в условии). Если в результате вычислений получается не целое число и если специально не оговорено в условии задания, то округлите его до целого, пользуясь правилами приближенных вычислений, и в бланк ответов запишите округленное число. Наименование величин (например, градус, процент, метр, тонна, км/ч и т.д.) не пишите. Знаки препинания в конце ответа не ставьте. Между знаком минус и числом пробел не ставится.
Коэффициент
примите равным
(если другого не оговорено в условии).
1. (2 балла) Закончите фразу: «Если угол между векторами
, то…»
2. (2 балла) Что из перечисленного является видами равновесия? Возможно несколько вариантов ответа.
3. (3 балла) От чего зависит сила сопротивления движению тела?

4. (4 балла) Закончите фразу: «При движении пассажирского лифта с ускорением вверх, сила давления пассажиров на пол кабины …»
5. (5 баллов) Как называется явление, показанное на графике зависимости силы трения от силы, действующей на тело?

6. (6 баллов) Из автомата произведен выстрел вертикально вверх. Найдите максимальную высоту, которой достигнет пуля, если она вылетает из ствола со скоростью 700 метров в секунду. Сопротивлением воздуха пренебречь. Ответ получите в километрах, и запишите его без округлений, в виде десятичной дроби, отделяя дробную часть от целой запятой и не используя пробел, например, 7,8

7. (7 баллов) Какую силу необходимо приложить к подвижному блоку, для равномерного подъема тела? В ответе запишите только полученное число, например, 5

8. (8 баллов) Два вагона двигались навстречу друг другу с одинаковыми по модулю скоростями, равными 4 метра в секунду.
Определите, во сколько раз масса первого вагона больше массы второго, если после сцепки она двигались вместе в направлении движения первого вагона со скоростью 2 метра в секунду. В ответе запишите число без единиц измерения, например, 8

9. (10 баллов) Разгадайте кроссворд и из букв в выделенных клетках составьте название книги, которую написал американский физик, астрофизик, и популяризатор науки – Георгий Антонович Гамов, также известный как Джордж Гамов. 

По горизонтали:

5. Движущаяся масса жидкости, газа; 7. Физическая векторная величина, служащая для количественного описания воздействия одних тела на другие; 8. Вид материи; 10. Чертеж, на котором изображены способы соединения электрических приборов в цепь; 11. Протекание, ход какого-либо явления.
По вертикали:
2. Единица мощности; 3. Прибор для регулирования силы тока в цепи; 4. Система, позволяющая передавать звук на далекие расстояния. Сейчас есть практически у каждого; 5. Один из концов магнита; 6. Источник (элемент) постоянного тока;

9. Единица измерения частоты. В том числе и ядра процессора ПК.
Запишите полученное слово в ответе без кавычек и знаков препинания.
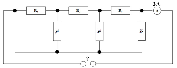
10. (10 баллов) Шесть резисторов сопротивлениями 
соединены так, как показано на рисунке. Определите напряжение цепи, если амперметр (с бесконечно малым сопротивлением) показывает 3 ампера. В ответе запишите только полученное число, например, 5

Примерное время на выполнение заданий: 90 минут.
Инструкция для учащихся
Во всех заданиях, если специально не оговорено в условии, сопротивлением воздуха при движении тел следует пренебречь.
Во всех заданиях искомые величины должны быть вычислены в системе СИ (если другого не оговорено в условии). Если в результате вычислений получается не целое число и если специально не оговорено в условии задания, то округлите его до целого, пользуясь правилами приближенных вычислений, и в бланк ответов запишите округленное число. Наименование величин (например, градус, процент, метр, тонна, км/ч и т.д.) не пишите. Между знаком минус и числом пробел не ставится. Между словами строго один пробел.

1. (1 балл) Землю можно принять за материальную точку при расчёте (выберите верные варианты утверждений):
2. (3 балла) Кабина лифта поднимается в течение первых 3 секунд равноускоренно, достигая скорости 5 м/с. С этой скоростью кабина лифта движется 10 с, а последние 5 с происходит торможение с таким же по величине ускорением, как в начале движения. Определите модуль перемещение кабины лифта за все время движения. В ответе единицы измерения не пишите —только число, например, 5
3. (3 балла) Вертолёт начал снижаться вертикально с ускорением 0,25 м/с2. Диаметр несущего винта вертолёта равен 32 м и совершает вращение вокруг оси с частотой 400 с−1. Определите число оборотов лопасти за время снижения вертолёта на 100 м.

4. (7 баллов) Тело массой 4 кг перемещается вверх по наклонной плоскости под действием связанного с ним невесомой и нерастяжимой нитью грузом массой 12 кг. Начальные скорости тела и груза равны нулю, коэффициент трения тела о плоскость равен 0,05, угол наклона плоскости равен 30о. Определите ускорение, с которым движется тело. Считать, что блок невесом и трение в блоке отсутствует. Ответ округлить до целого числа. Единицы измерения не пишите, только число, например, 5

5. (5 баллов) На чашку, подвешенную на пружине жёсткостью 500 Н/м, с высоты 2 м падает груз массой 350 г и остаётся лежать на чашке. Определите амплитуду установившихся колебаний, если массой чашки и пружины можно пренебречь. (Ответ дать в см, округлив его до целого числа. Единицы измерения не пишите).

6. (8 баллов) 1 моль газа совершают круговой процесс, график которого представлен на рисунке. Какая работа может быть совершена за один цикл при таком процессе, если наименьшая температура газа 0 оС, а наибольшая — 157 оС? При температуре 0 оС объем газа 5 л, а при 157 оС — 6,5 л. (В ответе единицы измерения не пишите — только число).

7. (4 балла) При температуре 36 оС давление насыщенного водяного пара 5,95 кПа. Влажный воздух при этой температуре, относительной влажности 80% и давлении 101 кПа занимает объем 1 м3. Определите его массу.
8. (8 баллов) На рисунке указан предмет, который находится на таком расстоянии от линзы, что его изображение является действительным и увеличенным ровно в два раза. Постройте это изображение и найдите длину отрезка
, если длина отрезка АВ равна 15 см, а длина отрезка
равна 35 см. Угол ВАС прямой. (Ответ дайте в см, округлив его до целого числа. Единицы измерения не пишите — только число).

9. (8 баллов) На схеме показано смешанное соединение конденсаторов и указаны электроёмкости некоторых конденсаторов. Известно, что на конденсаторе с ёмкостью
напряжение равно 12 В, а заряд — 900 нКл. Найдите общее напряжение на этом участке цепи. Ответ дать с точностью до двух знаков после запятой, отделяя дробную часть от целой запятой и не используя пробел. В ответе единицы измерения не пишите, только число, например, 88,99

10. (8 баллов) От генератора с ЭДС 320 В и внутренним сопротивлением 0,5 Ом протягивают кабель длиной 150 м к потребителю. Известно, что потребитель рассчитан на напряжение 220 В и имеет мощность 10 кВт. Если провод планируют изготовить из алюминия, то какая масса алюминия пойдёт на изготовление? Плотность алюминия принять 2700 кг/м3, удельное сопротивление — 0,028 мкОм ? м. (Ответ округлить до целого числа. Единицы измерения в ответ не пишите — только число).
Примерное время на выполнение заданий: 90 минут.
Инструкция для учащихся
Во всех заданиях, если специально не оговорено в условии, сопротивлением воздуха при движении тел следует пренебречь.
Во всех заданиях искомые величины должны быть вычислены в системе СИ (если другого не оговорено в условии). Если в результате вычислений получается не целое число и если специально не оговорено в условии задания, то округлите его до целого, пользуясь правилами приближенных вычислений, и в бланк ответов запишите округленное число. Наименование величин (например, градус, процент, метр, тонна, км/ч и т.д.) не пишите. Между знаком минус и числом пробел не ставится. Между словами строго один пробел.

1. (1 балл) Через площадку площадью 3 м2, расположенную под углом 30° к направлению линий магнитной индукции, проходит магнитный поток 1,5 Вб. Найдите модуль вектора магнитной индукции.
2. (3 балла) Стоя на холме, который образует с горизонтом угол 60о, мальчик бросает камень со скоростью 10 м/с под углом 30о к его поверхности. Определите максимальное удаление камня от поверхности холма. Сопротивлением воздуха можно пренебречь.
3. (3 балла) Диаметр одного из сообщающихся сосудов, в который налита ртуть, в 3 раза больше диаметра другого. В узкий сосуд налили столб масла высотой 35 см. Определите, на сколько изменятся уровни ртути в обоих сосудах.
4. (3 балла) Смещение от положения равновесия точки, находящейся на расстоянии 5 см от источника, через t = T/6 равно половине амплитуды. Определите длину волны.
5. (5 баллов) Протон, пройдя ускоряющую разность потенциалов 100 В, влетел в однородное магнитное поле с индукцией 8 мТл. Считая, что протон вращается в плоскости, перпендикулярной линиям магнитной индукции, найдите в сантиметрах радиус кривизны траектории вращения. (Если в результате вычислений получается не целое число, то округлите его до целого. В ответ единицы измерения не пишите, только число).
6. (7 баллов) Пластинку освещают рентгеновским излучением с длиной волны 20 нм. Красная граница для металла пластинки 200 нм. Вне пластинки приложено задерживающее однородное электрическое поле напряжённостью 500 В/м. Определите максимальную длину пробега фотоэлектронов (в сантиметрах) в этом поле. (В ответе единицы измерения не пишите, только число. Если в результате вычислений получается не целое число, то округлите его до целого, пользуясь правилами округления).
7. (4 балла) При температуре 36 оС давление насыщенного водяного пара 5,95 кПа. Влажный воздух при этой температуре, относительной влажности 80% и давлении 101 кПа занимает объем 1 м3. Определите его массу с точностью до килограмма.
8. (6 баллов) Вычислите КПД двигателей атомной подводной лодки, если их мощность 85 МВт, а реактор расходует 200 г урана
в сутки. Считать, что вследствие деления одного ядра атома урана выделяется 200 МэВ энергии. (Ответ дайте в процентах, округлив его до целого числа. Единицы измерения не пишите — только число).
9. (8 баллов) КПД тепловой машины в цикле 1—2—3—1 равен 50%, а в цикле 1—3—4—1 КПД равен 20%. Найдите КПД тепловой машины (в процентах), работающей по циклу 1—2—3—4. (В ответе единицы измерения не пишите, только число).

10. (10 баллов) Луч света вошёл в призму с показателем преломления 2,4 и не вышел из неё. Найдите минимальный угол падения луча на преломляющую грань, при котором это возможно, учитывая то, перпендикуляры к преломляющим граням призмы пересекаются под углом, равным сумме преломляющего угла призмы и угла отклонения луча. (Ответ округлить до целого числа. Единицы измерения в ответ не пишите — только число).