Примерное время на выполнение заданий – 90 минут.
Инструкция для учащихся
Во всех заданиях, если специально не оговорено в условии, сопротивлением воздуха при движении тел следует пренебречь.
В заданиях 5–10 искомые величины должны быть вычислены в системе СИ (если другого не оговорено в условии). Если в результате вычислений получается не целое число и если специально не оговорено в условии задания, то округлите его до целого, пользуясь правилами приближенных вычислений, и в бланк ответов запишите округленное число.
Наименование величин (например, градус, процент, метр, тонна, км/ч и т.д.) не пишите. Знаки препинания в конце ответа не ставьте. Между знаком минус и числом пробел не ставится.
Коэффициент g примите равным g=10 H/кг (если другого не оговорено в условии).
1. (2 балла) Какой из представленных на рисунках приборов относится к цифровым?

2. (2 балла) Что из перечисленного можно отнести к физическим явлениям? Возможно несколько правильных ответов.
3. (3 балла) Какое утверждение является верным?

4. (4 балла) Коля, Витя, Миша и Глеб на уроке физики осуществляли перевод объемов из одних единиц в другие. Кто из ребят перевел неверно, если у Коли получилось 305 дм3 = 305000 мл, у Вити – 0,32 м3 = 320000 дм3, у Миши – 4200 см3 = 4,2 л и у Глеба – 35 мл = 0,035 дм?
5. (5 баллов) В соревнованиях по зимнему многоборью, (состоящему из трех этапов: спуск с ледяной горы, движение на лыжах и передвижение ползком) чемпион — семиклассник Дима — показал следующие результаты: первый этап он преодолел за 1 минуту 20 секунд, второй – за 40 секунд, а третий за 2 минуты. Найдите среднюю скорость движения Димы на всем маршруте если ледяная горка была длиной 400 метров, лыжня – 0,1 километра и последний этап – 220 метров. Ответ получите в метрах в секунду.

6. (6 баллов) В бассейн можно максимально вместить 5000 баррелей воды. Найдите площадь дна бассейна, если его глубина 3 метра. Ответ получите в дециметрах квадратных. 1 баррель примите равным 163,65 дм3.

7. (8 баллов) На рисунке вы видите снеговика, состоящего из трех снежных шаров (шар 1, шар 2 и шар 3). Найдите общий объем снежных шаров если известно, что шар 2 в три раза больше, чем шар 1, и в три раза меньше, чем шар 3. Объем шара 2 равняется 0,3 дм3. Ответ получите в метрах кубических и запишите его без округления. Если ответ дробный, то укажите его в виде десятичной дроби, отделяя дробную часть от целой запятой и не используя пробел. Например, 0,0042

8. (9 баллов) Разгадайте пять ребусов и занесите ответы в таблицу (в соответствии с порядковыми номерами). Если все сделано верно, то в выделенном столбце получится слово, которое и нужно записать в ответе без кавычек и каких-либо знаков препинания. Например, физика


9. (8 баллов) На рисунке изображен деревянный прямоугольник. Найдите его массу, если периметр нижней (наибольшей) грани равен 120 см, длина равна 50 см, а высота – 2 см. Плотность дерева примите равной
. Ответ получите в килограммах и запишите его без округлений. Если ответ дробный, то укажите его в виде десятичной дроби, отделяя дробную часть от целой запятой и не используя пробел. Например, 0,05

10. (10 баллов) На рисунке вы видите использовавшееся в древности каменное колесо. Вам нужно найти объем полости, в которую крепилась ось, если известно, что площадь боковой поверхности (если бы она была без полости) равна 0,5 м2, толщина равна 10 сантиметров, а масса этого колеса – 99 килограмм. Плотность камня примите равной
. Сколами, неровностями и деревянной осью пренебрегаем. Ответ получите в дециметрах кубических и запишите его в ответ, например, 40

Примерное время на выполнение заданий – 90 минут.
Инструкция для учащихся
Во всех заданиях, если специально не оговорено в условии, сопротивлением воздуха при движении тел следует пренебречь.
В заданиях 5–10 искомые величины должны быть вычислены в системе СИ (если другого не оговорено в условии). Если в результате вычислений получается не целое число и если специально не оговорено в условии задания, то округлите его до целого, пользуясь правилами приближенных вычислений, и в бланк ответов запишите округленное число.
Наименование величин (например, градус, процент, метр, тонна, км/ч и т.д.) не пишите. Знаки препинания в конце ответа не ставьте. Между знаком минус и числом пробел не ставится.
Коэффициент g примите равным g=10 H/кг (если другого не оговорено в условии).
1. (2 балла) С помощью какого из представленных на рисунках приборов можно измерить (прямым измерением) вес тела?

2. (2 балла) Для какой физической величины подойдет представленный рисунок?

3. (3 балла) У каких из перечисленных сил, действующих на покоящийся на поверхности шар, совпадает модуль и направление? Может быть два и более правильных ответов.

4. (3 балла) Какой из представленных простых механизмов дает выигрыш в работе?

5. (5 баллов) На рисунках представлен ход лучей, испытывающих преломление при переходе из воздуха в следующие среды: алмаз, вода, рубин и стекло. Вам необходимо найти рисунок, соответствующий ходу луча через границу раздела сред «воздух – алмаз».
6. (6 баллов) По одной дороге с разными скоростями движутся три тела (тело 1, тело 2 и тело 3). Графики зависимости проходимого ими пути от времени движения вы видите на рисунке. По данным графиков найдите, во сколько раз наименьшая из трех скоростей будет меньше, чем наибольшая. В ответе укажите только полученное число, например, 10

7. (7 баллов) Брошенный вертикально вверх камень взлетел на высоту 20 метров. Найдите начальную скорость камня в м/с.

8. (8 баллов) При какой максимальной массе груза (в килограммах), находящегося на льдине, льдина будет оставаться на плаву, если ее объем эквивалентен объему в 100 баррелей? 1 баррель примите равным 0,16 метров кубических, плотность воды
, а плотность льда -
.
9. (9 баллов) Вам предстоит разгадать чайнворд (последняя буква предыдущего слова является первой буквой последующего) и из выделенных клеток составить название физического прибора, которое вы и запишете в ответе. Первые три выделенные буквы будут первыми тремя буквами прибора, а остальные четыре вам необходимо расставить по местам самим. Запишите полученное слово в ответе без кавычек и знаков препинания, например, физика

Вопросы:
1. Метрическая мера длины, равная тысяче метров. 2. Эту физическую величину можно получить, если мощность умножить на время. 3. Источник тока (в телефоне, ноутбуке и т.д.). 4. Один из простых механизмов («условие равновесия …»). 5. Предположение. 6. Древнегреческий ученый. 7. Его можно узнать с помощью барометра. 8. … измерения физической величины. 9. Мельчайшая частица химического элемента, состоящая из ядра и электронов. 10. Преобразователь звуковых колебаний в электрические. 11. Степень, а также площадь нагревания чего-нибудь. 12. Автомашина для передвижения по труднопроходимой местности. 13. Прибор для измерения силы. 14. Термин, которым часто обозначают машины с так называемым человекоподобным действием. 15. Прибор для измерения температуры. 16. Атмосферная влага, осаждающаяся при охлаждении водяных капель.
10. (10 баллов) Сообщающийся сосуд, выполненный в виде U-образной трубки, заполнили водой так, что между поверхностью воды и концами трубки было расстояние 55 сантиметров. Затем правую трубку доверху заполнили машинным маслом. Определите высоту столба машинного масла в правой трубке (в метрах). Плотность машинного масла примите равной
, а плотность воды –
.

Примерное время на выполнение заданий – 90 минут.
Инструкция для учащихся
Во всех заданиях, если специально не оговорено в условии, сопротивлением воздуха при движении тел следует пренебречь.
В заданиях 5–10 искомые величины должны быть вычислены в системе СИ (если другого не оговорено в условии). Если в результате вычислений получается не целое число и если специально не оговорено в условии задания, то округлите его до целого, пользуясь правилами приближенных вычислений, и в бланк ответов запишите округленное число.
Наименование величин (например, градус, процент, метр, тонна, км/ч и т.д.) не пишите. Знаки препинания в конце ответа не ставьте. Между знаком минус и числом пробел не ставится.
Коэффициент g примите равным g=10 H/кг (если другого не оговорено в условии).
1. (2 балла) Какую физическую величину можно измерить с помощью спидометра?

2. (2 балла) Какой прибор служит для регулировки силы тока и напряжения в электрической цепи?
3. (3 балла) Какая физическая величина зависит от угла поворота радиус-вектора?
4. (4 балла) Какая из представленных формул является кинематическим законом прямолинейного движения с постоянным ускорением?
5. (5 баллов) Какой из представленных рисунков соответствует положению предмета, мнимое изображение которого даст нам собирающая линза?
6. (6 баллов) Перелет из Минска в Москву занимает 1 час, а расстояние на самолете от Москвы до Тбилиси равняется 1750 км. Найдите перемещение (в километрах), которое совершит пассажир, посетивший три столицы (Минск→Москва→Тбилиси), если самолет из Минска в Москву будет лететь с постоянной скоростью 700 километров в час.

7. (7 баллов) Вертолет, снижающийся с постоянным ускорением 0,4 м/с2 , имеет частоту вращения лопастей
5 с-1. Найдите высоту, с которой спускался вертолет (в метрах), если за все время посадки лопасть совершила 100 оборотов.

8. (8 баллов) В калориметр, с находящимся в нем кубиком льда, температура которого
, влили 600 миллилитров воды при температуре
. Определите массу кубика льда, если после того, как весь лед растаял, температура смеси стала равной
. Теплоемкостью калориметра и тепловыми потерями пренебречь. Плотность воды примите равной
, удельную теплоемкость воды -
, а удельную теплоту плавления -
. Ответ получите в килограммах, округлив до десятых, и запишите в виде десятичной дроби, отделяя дробную часть от целой запятой и не используя пробел. Например, 0,1

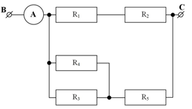
9. (9 баллов) Найдите, во сколько раз общее количество теплоты, выделившееся на участке ВС электрической цепи, представленной на рисунке, за 10 минут больше, чем количество теплоты, выделившееся на резисторе
. Известно, что
;
, а показание амперметра
. В ответе укажите только полученное число, например, 10

10. (10 баллов) Перед вами находится сканворд «Великие люди», который вам предстоит разгадать.

Вопросы: 1. Высота звука. 2. Нижняя часть корабля. 3. Находится в ядре атома. 4. Не овал, а … .5. Единица давления. 6. Вращающаяся часть двигателя. 7. Электрический …
Сканворд разбит на 4 сектора, за каждый из которых отвечает один ученый (тот сектор, где находится фамилия ученого).

В каждом секторе вы должны выбрать по одной из выделенных букв так, чтобы в центре сканворда получилось четырехбуквенное слово – название части электронного элемента (соответствующая буква находится рядом с портретом ученого). Порядок букв пронумерован (направление слова получается против часовой стрелки).

Слова в этом сканворде могут ломаться, менять направление, идти справа налево (как угодно, но не по диагонали).
Примерное время на выполнение заданий – 120 минут.
Инструкция для учащихся
Во всех заданиях, если специально не оговорено в условии, сопротивлением воздуха при движении тел следует пренебречь. Ускорение свободного падения g=10м/с2. В заданиях искомые величины должны быть вычислены в тех единицах, которые указаны в задании. Если в результате вычислений получается не целое число и если специально не оговорено в условии задания, то округлите его до целого, пользуясь правилами приближенных вычислений, и в бланк ответов запишите округленное число. Наименование величин (например, градус, процент, метр, тонна, км/ч и т.д.) не пишите. Знаки препинания в конце ответа не ставьте. Между знаком минус и числом пробел не ставится.
1. (3 балла) Единица измерения мощности, выраженная в единицах СИ, принимает вид:
2. (3 балла) После того, как Змей Горыныч съел стадо баранов, он запил трапезу гектолитрами воды. Это значит, что Змей влил в себя:

3. (3 балла) Работники раскладывают туго свернутый в цилиндр ковер вдоль коридора. Ковер не скользит, и цилиндр вращается вокруг своей оси с постоянной угловой скоростью. Граница неприкрытого ковром пола движется:

4. (4 балла) Какие вещества могут закипеть в соответствующих условиях?
5. (4 балла) Надутый воздушный шарик погрузили под воду. Как изменится сила выталкивания, если погрузить шарик еще глубже?

6. (4 балла) Какова длина медной проволоки в клубке массой 28 кг (в километрах)? Диаметр проволоки равен 2 мм, плотность меди равна 8900 кг/м3.

7. (4 балла) 2 однородных блока из одинакового материала висят на нити, перекинутой через блок, как показано на рисунке. 1-й блок погружен в воду наполовину (плотность воды равна 1000 кг/м3). Масса 2-го блока в 2 раза меньше массы 1-го блока. Система находится в равновесии. Плотность материала, из которого изготовлены блоки, равна в кг/м3:

8. (5 баллов) Балка массой 5 кг является рычагом, как показано на рисунке. Какой массы груз нужно подвесить на правом конце балки, чтобы она находилась в равновесии?

9. (5 баллов) В калориметре смешаны 1 часть воды – температура 90 оС – с такой же частью воды с температурой 10 оС, а после добавлено 2 части воды температурой 20 оС. После смешивания температура воды в оС равна:
10. (5 баллов) Какая минимальная работа должна быть выполнена, чтобы из 4 лежащих на земле кирпичей сделать колонну, как показано на рисунке? Размеры каждого кирпича: 250 мм × 120 мм × 65 мм, масса равна 3 кг. Первый кирпич с места не сдвигают.

Примерное время на выполнение заданий – 120 минут.
Инструкция для учащихся
Во всех заданиях, если специально не оговорено в условии, сопротивлением воздуха при движении тел следует пренебречь. Ускорение свободного падения g=10м/с2. В заданиях искомые величины должны быть вычислены в тех единицах, которые указаны в задании. Если в результате вычислений получается не целое число и если специально не оговорено в условии задания, то округлите его до целого, пользуясь правилами приближенных вычислений, и в бланк ответов запишите округленное число. Наименование величин (например, градус, процент, метр, тонна, км/ч и т.д.) не пишите. Знаки препинания в конце ответа не ставьте. Между знаком минус и числом пробел не ставится.
1. (3 балла) Одна из представленных формул выражает соотношение энергии и массы в специальной теории относительности. E – энергия, m – масса, c – скорость света. Какая это формула?

2. (3 балла) Какой из рисунков представляет ход светового луча лазера через стеклянный блок, находящийся в воздухе?
3. (3 балла) Два шарика одинакового объема погружены в воду и закреплены нитками ко дну. 1-й шарик наполнен воздухом, а 2-й – гелием. Сила тяжести P и сила выталкивания W, действующие на шарики, относятся как:

4. (4 балла) Современная мобильная связь работает благодаря передаче сигнала с помощью:

5. (4 балла) Сравните скорости: v1 – скорость пассажирского самолета, v2 – скорость падающей капли дождя, v3 – скорость звука в воздухе.
6. (4 балла) Пластиковый мешок для мусора надули и плотно завязали, чтобы получилась «воздушная подушка». После этого на мешок положили книгу размером 20×30 см и весом 12Н, как показано на рисунке. Атмосферное давление равно 100 кПа. Давление воздуха в мешке равно:

7. (4 балла) Баскетбольный мяч падает с высоты 1 м на пол, а после подскакивает на высоту 55 см (эта величина и все последующие касаются вершины мяча). Потери энергии из-за сопротивления ветра незначительны в сравнении с потерями от столкновения мяча с полом. Чтобы вести мяч во время игры на высоте 55 см, какая минимальная скорость мяча (в направлении пола) должна быть?

8. (5 баллов) Санки съезжают по наклонной плоскости с постоянной скоростью. Сила трения равна T. С какой силой необходимо тянуть санки по той же плоскости вверх, чтобы они так же двигались с постоянной скоростью?

9. (5 баллов) 2 гамака висят параллельно друг другу. На одном лежит мальчик и качается с частотой 0,2 Гц, а гамак девочки проходит через самую нижнюю точку каждые 3 секунды. В определенный момент времени оба гамака максимально отклонены в правую сторону. Через сколько секунд после этого момента гамаки снова будут находиться в таком же самом положении?

10. (5 баллов) Вор крадется к стеклянной витрине вдоль левой стороны кирпичной стены. Полицейский (P) стоит неподвижно по правую сторону от стены. В какой точке, обозначенной буквой, должен находиться вор, чтобы полицейский его заметил в первый раз? В ответе запишите только одну букву, используя латинскую раскладку клавиатуры. Например, D
