Рекомендуемое время проведения – 40 минут.
Все ответы вводятся без знаков препинания.
1. (1 балл) Сколько всего крыльев у тех, кто за забором? Ответ запиши только числом, без буквенного пояснения, например, 5

2. (1 балл) Сколько всего лап у тех, кто за забором? Ответ запиши только числом, без буквенного пояснения, например, 5

3. (2 балла) Сколько паучку всего надо сапожек, чтобы обуть четыре пары ножек? Ответ запиши только числом, без буквенного пояснения, например, 5
4. (2 балла) Какую фигуру вырезали из квадрата?

5. (3 балла) По какой дороге нужно пробежать мышонку, чтобы добраться до кусочка сыра? Знак
запрещает двигаться дальше.

В ответе запиши только номер дороги, например, 5
6. (3 балла) Реши примеры в таблице и в пустые клеточки запиши ответы. Перенеси буквы, соответствующие ответам, в пустые клеточки двух последних таблиц. Полученную фразу запиши в ответе без знаков препинания с одним пробелом между словами.

7. (4 балла) У ослика Иа были одинаковые монетки. Ослик купил 3 охапки сена и 1 пучок моркови. За каждую охапку сена он отдавал 2 монетки, а за 1 пучок моркови столько, сколько стоят 2 охапки сена. Сколько монет заплатил ослик Иа за всю покупку? Ответ запиши только числом, без буквенного пояснения, например, 5

8. (4 балла) Девочки вместе делали аппликацию «Лес». Юля и Света приклеили ёлки. Дерево Светы и дерево Маши одинаковой высоты. Дерево Маши ниже дерева Иры. Какое дерево приклеила Ира?

9. (5 баллов) В семье несколько детей. У каждого из детей спросили, сколько у них братьев и сестёр. Вот что ответили дети:
1-й - у меня есть брат и сестра.
2-й - у меня нет сестёр.
Что сказал третий ребёнок?
10. (5 баллов) У Винни-Пуха было 10 горшочков с мёдом. Мёд из нескольких горшочков он уже съел. После этого у него осталось на 4 горшочка с мёдом больше, чем он уже съел. Сколько горшочков мёда съел Винни-Пух? Ответ запиши только числом, без буквенного пояснения, например, 5

Рекомендуемое время проведения – 45 минут.
Все ответы вводятся без знаков препинания.
1. (1 балл) Курочка Ряба обещала за месяц снести 3 десятка яиц. Она снесла 25 яиц. Выполнила ли курочка Ряба своё обещание?
2. (1 балл) Разгадай ребус, запиши полученное слово в ответе.

3. (2 балла) На отрезке АВ поставили ещё две точки С и D. Сколько всего отрезков можно найти на рисунке? Ответ запиши только числом, без буквенного пояснения, например, 5

4. (2 балла) Столяр распилил лист фанеры на 4 части. Потом 2 из них распилил на 3 части каждую. Сколько получилось кусков фанеры? Ответ запиши только числом, без буквенного пояснения, например, 5
5. (3 балла) У ребят из шахматного клуба спросили, сколько человек занимается в клубе. Они ответили: «Если из наибольшего двузначного числа вычесть число, записанное двумя семёрками, прибавить наибольшее однозначное число и вычесть наименьшее двузначное число, получится количество членов шахматного клуба». Сколько человек занимается в шахматном клубе? Ответ запиши только числом, без буквенного пояснения, например, 5
6. (3 балла) Витя решил из кубиков построить трап к модели самолёта. Он пока сделал 3 ступеньки, а в трапе должно быть 6 ступенек. Сколько всего кубиков нужно для того, чтобы построить трап? Ответ запиши только числом, без буквенного пояснения, например, 5

7. (4 балла) Сумма двух чисел, рядом стоящих на числовом луче, равна 35. Найди сумму цифр этих двух чисел и полученное число запиши в ответе.
8. (4 балла) В 2 мешках всего 80 кг яблок. Когда из первого мешка во второй переложили 20 кг яблок, в мешках стало яблок поровну. Сколько килограммов яблок было в большем мешке первоначально? Ответ запиши только числом, без буквенного пояснения, например, 5
9. (5 баллов) Фокусник разложил реквизит в 3 коробочки разного цвета. В одной лежали шёлковые платочки, в другой – бумажные цветы, в третьей – резиновые шарики. Красная коробочка стоит правее коробочки с платочками. Коробочка с шариками – правее красной коробочки. В какой коробочке лежат шарики, если зелёная коробочка находится левее синей?
10. (5 баллов) Реши кроссворд. С числами 64 и 36 выполни то действие, на которое указывает слово из выделенного столбика кроссворда. Результат действия запиши в ответе, например, 10

Рекомендуемое время проведения – 50 минут.
Все ответы вводятся без знаков препинания.
1. (1 балл) Верёвку разрезали на 9 частей, не складывая её. Сколько разрезов при этом сделали? Ответ запиши только числом, без буквенного пояснения, например, 5
2. (1 балл) У Винни-Пуха и Пятачка было по шоколадке. Они решили угостить ослика Иа. Каждый отломил по 1/2 части шоколадки и отдал ослику. У кого теперь больше всего шоколада?
3. (2 балла) Что больше: сумма всех нечётных чисел от 1 до 17 или сумма всех чётных чисел от 2 до 16?
4. (2 балла) Кузнецу надо полностью подковать 2 лошадей. Сколько гвоздей для этого понадобится, если для крепления одной подковы нужно 8 гвоздей? Ответ запиши только числом, без буквенных пояснений, например, 5
5. (3 балла) В саду весной высадили 36 саженцев плодовых деревьев. Половина из них были яблони, четвёртая часть – груши, девятая часть – сливы, а остальное – вишни. Сколько вишен высадили в саду? Ответ запиши только числом, без буквенных пояснений, например, 5
6. (3 балла) Сумма двух чисел больше одного из слагаемых на 10 и больше другого слагаемого на 5. Чему равна эта сумма? Ответ запиши только числом, без буквенного пояснения, например, 5
7. (4 балла) На дачном участке прямоугольной формы длиной 9 м и шириной 6 м построили прямоугольный домик, ширина которого вполовину меньше ширины участка, а длина равна 4 м. Чему равна площадь незастроенного участка земли? Ответ запиши только числом, без буквенного пояснения, например, 5

8. (4 балла) В коробочках лежат образцы полезных ископаемых, но надписи ни на одной из них не соответствуют содержимому. В какой коробочке находится мел?
9. (5 баллов) Владик, Гоша и Дима выполняли подтягивания на уроке физкультуры. Владик подтянулся на 5 раз больше, чем Гоша. Гоша – на 4 раза больше, чем Дима. Сколько раз подтянулся каждый из мальчиков, если сумма результатов подтягиваний всех мальчиков равна 28? Ответы запиши только числами, без буквенных пояснений, например, 5
Владик подтянулся:
Гоша подтянулся:
Дима подтянулся:
10. (5 баллов) Реши кроссворд. С числами 72 и 8 выполни то действие, на которое указывает слово из выделенного столбика кроссворда. Результат действия запиши в ответе, например, 10

Рекомендуемое время проведения – 60 минут.
Все ответы вводятся без знаков препинания.
1. (1 балл) Полчетверти задуманного числа – число 50. Какое число было задумано?
2. (1 балл) Периметр квадратной площадки для игр равен 36 м. Чему равна её площадь? Ответ запиши только числом, без буквенного пояснения, например, 5
3. (2 балла) Моторная лодка 1 час двигалась по озеру и проплыла 15 км, а затем стала двигаться вверх по реке и за 2 часа проплыла 26 км. Какова скорость течения реки, если мотор лодки работал равномерно? Ответ запиши только числом, без буквенного пояснения, например, 5
4. (2 балла) 29 февраля 2016 года Петя праздновал свой день рождения третий раз в жизни именно этого числа. Сколько лет исполнилось Пете? Ответ запиши только числом, без буквенного пояснения, например, 5
5. (3 балла) Было 11 листов фанеры. Несколько из них распилили на 3 части. Всего стало 19 листов фанеры. Сколько листов фанеры распилили?
Ответ запиши только числом, без буквенного пояснения, например, 5
6. (3 балла) На кондитерской фабрике одновременно делали конфеты «Трюфели» и «Маска». На линии, выпускающей «Трюфели», за каждые 5 минут работы выпускали 27 кг конфет. А на линии, выпускающей конфеты «Маска», за каждые 15 секунд выпускали 1 кг конфет. Каких конфет за сутки выпускалось больше?
7. (4 балла) Велосипедист ехал из Тулы в Москву. В первый день он проехал 108 км до города Чехов и остановился на ночлег. На следующий день он проехал ещё 72 км. Сколько всего часов велосипедист двигался до Москвы, если известно, что во второй день он ехал на 3 часа меньше, чем в первый, и все время он двигался с одинаковой скоростью? Время отдыха учитывать не надо. Ответ запиши только числом, без буквенного пояснения, например, 5
8. (4 балла) За определённый промежуток времени красный сигнал светофора загорался 15 раз. Сколько раз между первым и пятнадцатым включениями красного сигнала загорался жёлтый свет? Ответ запиши только числом, без буквенного пояснения, например, 5
9. (5 баллов) Сколько всего треугольников на рисунке?
Ответ запиши только числом, без буквенного пояснения, например, 5

10. (5 баллов) На творческом конкурсе встретились 3 девочки – Аня, Галя и Оля. Одна из них пела, другая — танцевала, а третья — выполняла акробатический этюд. Все три девочки учились в разных классах – в 3-м, 4-м и 5-м классах. Аня училась не в 3-м классе, Галя – не в 4-м классе. Третьеклассница не поёт. Девочка, которая учится в 4-м классе, танцует. Галя не акробатка. В каком классе учится Оля? Чем занимается Оля?
Рекомендуемое время выполнения заданий – 120 минут.
1. (3 балла) На рисунке изображены магические квадраты. В одном из них не все клетки заполнены. Найдите закономерность, заполните оставшиеся клетки и укажите сумму всех чисел в этих клетках.

2. (3 балла) Сколько всего треугольников изображено на картинке? В ответе укажите число без пробелов и каких-либо знаков препинания. Например, 12

3. (3 балла) Какое минимальное количество пар скобок можно использовать, чтобы, расставив их в записи
получилось значение 75?
4. (4 балла) Разгадайте числовой ребус. Вычислите сумму цифр уменьшаемого и вычитаемого.

5. (4 балла) Из какого числа нужно вычесть
, чтобы получить число в
раз меньшее, чем 9. В ответе укажите число без пробелов и каких-либо знаков препинания. Например, 123
6. (4 балла) В столовой на столе стоят 4 стакана с соками: клубничным, лимонным, апельсиновым и яблочным. Если яблочный сок, стоящий правее всех, поставить между клубничным и лимонным, то лимонный окажется крайним слева. Какой сок теперь стоит правее?
7. (4 балла) Укажите верный вариант развертки куба, изображенного на картинке. Противоположные грани разукрашены одинаково.


8. (5 баллов) Вдоль тропинки высажены тюльпаны. После зимних морозов осталось только несколько из них. Расстояния между ними оказались 26, 65 и 91 см. Какое наименьшее количество луковиц тюльпанов нужно посадить, чтобы расстояния между любыми двумя соседними цветками были равны между собой? В ответе укажите число без пробелов и каких-либо знаков препинания. Например, 12
9. (5 баллов) Встретились как-то на лужайке друзья-драконы Евстафий, Степан, Людовик и Константин и начали спор, кто же из них самый старший. Оказалось, что Евстафию 1 век и 1719 месяцев, Степану ровно 2040 месяцев, Людовику 2 века и 114 месяцев, а Константину 2 века без 68 месяцев. Вычислите возраст драконов и расположите их в порядке от старшего к младшему. В ответе укажите комбинацию строчных букв, соответствующих первой букве имени дракона, без пробелов и каких-либо знаков препинания. Например, еслк
10. (5 баллов) Как-то Дима захотел позвонить своему другу в другой город, но оказалось, что номер телефона потерял. Он помнил только, что 5-значный номер состоял из цифр 0, 2, 3, 5, 6, причем начинается и заканчивается не 0, а цифра 2 стоит на втором или на третьем месте. Во что бы то ни стало он решил, что найдет друга, и стал перебирать все возможные варианты. Вычислите, сколько таких вариантов у него найдется. В ответе укажите число без пробелов и каких-либо знаков препинания. Например, 10
Рекомендуемое время выполнения заданий – 120 минут.
1. (3 балла) Вычислите произведение всех натуральных чисел, записанных в ряду.

2. (3 балла) Вычислите 125 % от зашифрованного в ребусе числа. Полученный результат умножьте на число 24. В ответе укажите число без пробелов и каких-либо знаков препинания. Например, 321

3. (3 балла) Посмотрите на фигуры, изображенные на рисунке, и скажите, сколько из них не имеют ни одной оси симметрии.

4. (4 балла) Окружность колеса телеги имеет длину 18 дм. Вычислите, сколько оборотов за секунду делает колесо, если известно, что за
часа она проехала 2,43 км.
5. (4 балла) На уроке математики учитель на доске изобразил две диаграммы, такие как показано на рисунке. Петя посмотрел и сказал, что не все данные верны. Проверьте, так ли это. Какая диаграмма не верна?
6. (4 балла) Алексей из дерева сделал две геометрические фигуры (рис. 1 и рис. 2). Вычислите, сколько лака нужно потратить, чтобы полностью окрасить их поверхности, если известно, что на одну сторону куба (рис. 1) израсходовали 18 грамм лака.

7. (4 балла) Имеется прямоугольник длиной 18 см, шириной 8 см. На какое минимальное количество кусков его можно разрезать, чтобы из них можно было сложить квадрат со стороной 12 см?
8. (5 баллов) В кладовой у медведя было не более 100 банок варенья, причем варенья из яблок было в 2 раза больше, чем варенья из вишен. За месяц он съел 4% всех запасов. Вычислите, сколько банок варенья осталось у медведя в кладовой. В ответе укажите число без пробелов и каких-либо знаков препинания. Например, 12
9. (5 баллов) На рисунке показан план корпуса санатория. Вычислите, сколько гектаров он занимает, если масштаб 1: 3000, а длина 1 клетки 0,5 см.

10. (5 баллов) В подарочном наборе имеются конфеты, печенье, шоколадки и батончики. Известно, что шоколадка весит столько же, сколько весят батончик и печенье вместе, а три конфеты – столько же, сколько две шоколадки. Кроме того, батончик весит столько же, сколько печенье и конфета вместе. Сколько штук печенья нужно положить на левую чашу весов, чтобы они находились в равновесии, если на правой чаше лежит батончик? В ответе укажите число без пробелов и каких-либо знаков препинания. Например, 2
Рекомендуемое время выполнения заданий − 90 минут.
1. (3 балла) Алёша решил пример на доске, а его друг Саша решил подшутить над ним и стёр знаки между слагаемыми. Помогите Алёше восстановить запись, чтобы получить хорошую оценку.
3x _ 5y _ 7x _ 4y _ 5x _ 2y = x + 7y

2. (3 балла) Пусть длины трёх отрезков равны 4, а + 4, 2а - 3. При каких значениях переменной a из этих отрезков можно составить треугольник?
В ответе укажите только число, без каких-либо знаков препинания, например, 100
Если таких чисел несколько, то в ответе укажите наименьшее значение.
3. (3 балла) Определите, какая часть квадрата, изображённого на рисунке, закрашена.

4. (4 балла) Отвечайте на вопросы правильно и двигайтесь по нужным стрелкам. В результате получите одно из четырёх выражений, значение которого необходимо найти.
В ответе укажите только число, без каких-либо знаков препинания, например, 100
Если число получится отрицательное, то между знаком минус и числом не ставьте пробел. Например, -100

5. (4 балла) В подвале у дедушки Феди стоят три мешка, в которых хранится 114 кг сахара. В первом мешке на 16 кг меньше, чем во втором, а в третьем на 2 кг меньше, чем во втором. Сколько килограммов сахара хранится у деда Феди во втором мешке?

В ответе укажите только число, без каких-либо знаков препинания, например, 100
6. (4 балла) Вычислите значение суммы:

7. (4 балла) Аня при подготовке к контрольной работе по математике решала задачи. Каждый час число решённых задач снижалось на некоторое постоянное число процентов. Через 3 часа оказалось, что она решила 265,44% того, что решила за первый час. На сколько процентов в час снижалось количество решённых задач?
В ответе укажите число без пробелов и каких-либо других знаков препинания, например, 100
8. (5 баллов) В равнобедренном треугольнике АВС (АВ = ВС) на стороне АВ взяли точки D и F (точка D ближе к В), а на стороне ВС – точку Е так, что отрезки BD = DE = EF = FC = CA. Найдите углы треугольника АВС.

В ответе запишите три полученных числа в порядке возрастания без каких-либо знаков препинания. Между числами ставьте строго один пробел, например, 10 20 30
9. (5 баллов) Среди 67 учащихся курсов иностранных языков 47 человек изучают английский, 35 – немецкий, а 23 – оба языка. Сколько человек не изучают ни немецкий, ни английский языки?

В ответе запишите только число, без каких-либо знаков препинания, например, 100
10. (5 баллов) Известно, что b - c + a = 3 и b + c - a = 7. Найдите значение выражения:
–a2 + b2 – c2 + 2ac + 3a + b – 3с - 2
Рекомендуемое время выполнения заданий − 90 минут.
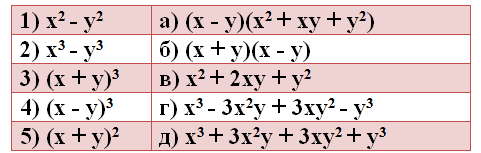
1. (3 балла) Соотнесите правильно формулы сокращённого умножения.

В ответе укажите комбинацию из чисел и букв без пробелов и каких-либо знаков препинания, числа должны идти по порядку, например, 1а2б3в4г5д
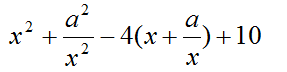
2. (3 балла) При каком значении a выражение является полным квадратом?

В ответе укажите только число, без каких-либо знаков препинания, например, 100
3. (3 балла) Два друга Олег и Антон выходят одновременно из пунктов A и B навстречу друг другу и встречаются через 18 минут. Олег проходит расстояние AB за 30 минут. За сколько минут проходит расстояние AB другой друг, Антон?
4. (4 балла) Соотнесите линии в треугольнике и их свойства. В ответе укажите комбинацию из чисел и букв без пробелов и каких-либо знаков препинания, числа должны идти по порядку, например, 1а2б3в4г

5. (4 балла) Проверьте, правильно ли выполнены действия.

Из букв, стоящих напротив верных равенств, составьте слово и запишите его без пробелов и каких-либо знаков препинания, например, степень
6. (4 балла) Найдите дробь со знаменателем 23, которая больше 7/17, но меньше 8/17.
7. (4 балла) Маша загадала некоторое натуральное число и рассказала папе, что это число имеет 61 разряд и состоит из двоек, троек и четвёрок. При этом двоек на 19 больше, чем четвёрок.
Помогите папе Маши найти остаток от деления этого числа на 9.
В ответе укажите число без пробелов и каких-либо знаков препинания, например, 100
8. (5 баллов) Укажите номера графиков, которые являются функциями.

В ответе укажите последовательность цифр – номеров графиков — в порядке возрастания без пробелов и каких-либо знаков препинания, например, 12345678
9. (5 баллов) Имеются цифры 1, 2, 3, 4, 5 и пять знаков "+". Расставьте эти знаки так, чтобы выражение стало верным:

Порядок цифр нарушать нельзя. Укажите, какое число в результате сложения получится.
В ответе запишите только это число, без пробелов и каких-либо знаков препинания, например, 100
10. (5 баллов) Чему равна одна треть от одной четвёртой от одной пятой от половины от 120?
Рекомендованное время выполнения – 90 минут.
1. (2 балла) Две стороны равнобедренного треугольника равны 7 см и 14 см. Найдите периметр треугольника. В ответе укажите число без каких-либо знаков препинания и единиц измерения, например, 5

2. (по 2 балла за каждый пункт) При каком значении аргумента значение функции
будет наибольшим? И каким? В ответе укажите число без каких-либо знаков препинания, например, 5
Значение аргумента:
Значение функции:
3. (по 2 балла за каждый пункт) Вася от квадрата со стороной а отрезал прямоугольник со сторонами в и с.
Площадь полученной фигуры можно найти по формулам:
Периметр полученной фигуры можно найти по формуле:
4. (5 баллов) Установите соответствие между формулой гиперболы, которая получена сдвигом вдоль осей координат гиперболы
и графиком, который ей подходит. Ответ запишите в виде сочетания цифр и букв без пробелов и
каких-либо знаков препинания, цифры должны идти по порядку, например, 1а2г3б

5. (5 баллов) Используя данные рисунка, найдите угол х. В ответе укажите число без каких-либо знаков препинания и единиц измерения, например, 5

6. (6 баллов) Разгадайте ребус. В ответе запишите только полученное слово, без каких-либо знаков препинания.

7. (7 баллов) Решите уравнение
. В ответе укажите число без каких-либо знаков препинания, например, 5
8. (8 баллов) Наименьшее целое неотрицательное х, удовлетворяющее неравенству
, равно:
9. (9 баллов) Катер прошел по течению реки 14 км, а затем 9 км против течения, затратив на весь путь 5 ч. Найдите собственную скорость катера, если скорость течения реки 2 км/ч. В ответе укажите число без каких-либо знаков препинания и единиц измерения, например, 5
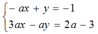
10. (10 баллов) Найдите значение а, при котором система уравнений
имеет более одного решения. В ответе укажите число без каких-либо знаков препинания, например, 5
Рекомендованное время выполнения – 90 минут.
1. (2 балла) Квадрат со стороной 9 см разбит на квадраты со стороной 3 см, как показано на рисунке. Сколько всего квадратов на этом рисунке? В ответе укажите число без каких-либо знаков препинания, например, 5
2. (3 балла) Разложение квадратного трехчлена
на множители имеет вид:
3. (4 балла) Поезд, отъезжая от станции, равномерно увеличивал скорость на 20 метров в минуту. Найдите скорость поезда в конце 18-й минуты разгона. В ответе укажите число без каких-либо знаков препинания и единиц измерения, например, 5

4. (5 баллов) Установите соответствие между формулой параболы, которая получена сдвигом вдоль осей координат параболы
и графиком, который ей подходит. Ответ запишите в виде сочетания цифр и букв без пробелов и каких-либо знаков препинания, цифры должны идти по порядку, например, 1а2г3б

5. (6 баллов) Во сколько раз число А меньше числа В? В ответе укажите число без каких-либо знаков препинания, например, 5

6. (6 баллов) Прямая а — касательная к окружности с центром в точке О. По данным на рисунке найдите угол х.
Угол х равен:

7. (7 баллов) Разгадайте ребус. В ответе запишите только полученное слово, без каких-либо знаков препинания.

8. (8 баллов) Найдите наименьшее целое число из области определения функции, заданной формулой
. В ответе укажите число без каких-либо знаков препинания, например, 5
9. (9 баллов) Механические часы показывают время 7 часов 20 минут. Найдите угол между часовой и минутной стрелкой. В ответе укажите число без каких-либо знаков препинания и единиц измерения, например, 5

10. (10 баллов) Химическому заводу необходимо 120 килограмм 20%-ой кислоты. Но на складе оказались кислоты 10%-ой и 35%-ой концентрации. Сколько кислоты каждой из этих концентраций следует смешать, чтобы удовлетворить потребность завода? В ответе укажите число без каких-либо знаков препинания и единиц измерения, например, 5
Кислоты 10%-ой концентрации:
Кислоты 35%-ой концентрации:
Рекомендованное время выполнения – 90 минут.
1. (2 балла) Трое рабочих за два часа выкопали четыре ямы. Сколько ям выкопают шесть рабочих за пять часов? В ответе укажите число без каких-либо знаков препинания, например, 5

2. (по 2 балла за каждый пункт) Какой из следующих дорожных знаков имеет наибольшее число осей симметрии?
Какие из следующих дорожных знаков имеют центр симметрии?
3. (4 балла) А и В – точки касания. По данным на рисунке найдите угол С. В ответе укажите число без каких-либо знаков препинания и единиц измерения, например, 5

4. (5 баллов) Установите соответствие между формулой функции, которая получена сдвигом вдоль осей координат графика функции
и графиком, который ей подходит. Ответ запишите в виде сочетания цифр и букв без пробелов и каких-либо знаков препинания, цифры должны идти по порядку, например, 1а2г3б

5. (6 баллов) Если
равно
6. (6 баллов) Найдите наименьшее целое решение неравенства
. В ответе укажите число без каких-либо знаков препинания, например, 5
7. (6 баллов) Разгадайте ребус. В ответе запишите только полученное слово, без каких-либо знаков препинания.

8. (8 баллов) Автомобиль ехал из села в город со скоростью 80 км/ч, а возвращался со скоростью 120 км/ч. Средняя скорость автомобиля равна:
9. (9 баллов) Бизнесмен Петров купил акции и через год продал их по номинальной стоимости, получив вместе с прибылью сумму 201600 р. Сколько акций было куплено, если прибыль составляет 12% от стоимости акции и равна 240 р.? В ответе укажите число без каких-либо знаков препинания, например, 5
10. (по 5 баллов за каждый пункт) Основанием прямоугольного параллелепипеда является прямоугольник со сторонами 4 см и 5 см, площадь поверхности описанной сферы равна
. Найдите объем и площадь полной поверхности параллелепипеда. В ответе укажите число без каких-либо знаков препинания и единиц измерения, например, 5
Объем прямоугольного параллелепипеда:
Площадь полной поверхности прямоугольного параллелепипеда: