Рекомендуемое время выполнения заданий − 70 минут.
Уважаемые учителя! Обратите, пожалуйста, внимание на то, что рисунки из заданий 1, 6 и 9 должны быть цветными! Просьба заранее распечатать цветную картинку, или иметь доступ к файлу в интернете, или же черно-белую копию разукрасить по условию задания! Иначе у учащихся не будет возможности сделать правильный выбор.
1. (3 балла) Что общего у предметов данной группы?

2. (3 балла) Укажи лишнее.
3. (3 балла) Дана последовательность картинок. Укажи, какая картинка должна быть следующей в данной последовательности.

4. (4 балла) Маша съела 4 конфеты, а потом ещё 5. Сколько конфет всего съела Маша?
В ответе запиши только число, без каких-либо знаков препинания, например, 8

5. (4 балла) Укажи все тени, относящиеся к сказке «Колобок».
6. (4 балла) Мальчик Миша ищет маленький круглый синий предмет. Укажи этот предмет.
7. (4 балла) На ветке сидело 5 голубей. 3 голубя улетели. Сколько голубей осталось на ветке?
В ответе запиши только число, без каких-либо знаков препинания, например, 5

8. (5 баллов) Укажи все предметы, которые входят в группу с общим названием «посуда».
9. (5 баллов) Найди среди девочек Машу. У неё нет зелёного банта, синей юбки и розовых ботинок.
10. (5 баллов) Посчитай и запиши сумму чисел в треугольниках.
В ответе запиши только число, без каких-либо знаков препинания, например, 6

Рекомендуемое время выполнения заданий − 70 минут.
1. (3 балла) Укажи, от какого слова произошло название предмета информатика.
2. (3 балла) Сколько детей изображено на рисунке?

В ответе запиши только число, без каких-либо знаков препинания, например, 2
3. (3 балла) Дана последовательность картинок. Укажи, какая картинка должна быть следующей в данной последовательности.

4. (4 балла) Укажи все верные варианты того, что можно делать с информацией.
5. (4 балла) С помощью какого из органов чувств человек принимает информацию о запахе?
6. (4 балла) Укажи объекты, которые имеют треугольную форму.
7. (4 балла) Данила отправил 14 сообщений. Лере отправил 6, Даше – 3, а Жанне — все остальные. Сколько сообщений Данила отправил Жанне?
В ответе запиши только число, без каких-либо знаков препинания, например, 3

8. (5 баллов) Дядя Ваня отремонтировал за месяц 67 компьютеров. Сколько ему ещё нужно отремонтировать, если всего в мастерской было 77 компьютеров и ему принесли ещё 7?
В ответе запиши только число, без каких-либо знаков препинания, например, 7

9. (5 баллов) Даша придумала алфавит. В нём столько же букв, сколько в русском алфавите. Она составила кодовую таблицу:

10. (5 баллов) Сколько букв «с» в данном слове?
В ответе запиши только число, без каких-либо знаков препинания, например, 1

Рекомендуемое время выполнения заданий − 70 минут.
1. (3 балла) Укажи, как называется список, элементы которого располагаются в порядке возрастания или убывания значений какого-либо свойства объекта.
2. (3 балла) На рисунке 7 объектов. Сколько элементов в списке объектов, которые нельзя приносить в компьютерный класс?
В ответе запиши только число, без каких-либо знаков препинания, например, 7

3. (3 балла) Укажи верное взаимное соответствие.

4. (4 балла) Выбери число, у которого есть все указанные свойства: делится на 2, двузначное, натуральное, чётное.
5. (4 балла) Укажи истинные высказывания.
6. (4 балла) Сколько букв в данном слове?
В ответе запиши только число, без каких-либо знаков препинания, например, 6

7. (4 балла) Укажи изображения с лишним элементом танграма.
8. (5 баллов) Элемент блок-схемы овал обозначает:
9. (5 баллов) Вика купила 24 компьютерных устройства (мыши, клавиатуры, колонки). Известно, что колонок в 7 раз меньше, чем клавиатур, и колонок не 1. Сколько мышек купила Вика?
В ответе запиши только число, без каких-либо знаков препинания, например, 3
10. (5 баллов) Выполни алгоритм и запиши правильный результат выполнения алгоритма. В ответе запиши только число без каких-либо знаков препинания, например, 7

Рекомендуемое время выполнения заданий − 70 минут.
1. (3 балла) Системой команд исполнителя называют:
2. (3 балла) Укажи все виды информации по способу двоичного кодирования.
3. (3 балла) Укажи верное взаимное соответствие.

4. (4 балла) Укажи изображение с лишним элементом танграма.

5. (4 балла) Элемент блок-схемы прямоугольник обозначает:
6. (4 балла) У Миши на USB-флеш-накопителе 24 объекта (графические файлы, текстовые документы, звуковые файлы). Известно, что звуковых файлов в 7 раз меньше, чем текстовых файлов, и звуковых файлов не 1. Сколько графических файлов у Миши на USB-флеш-накопителе?
В ответе запиши только число, без каких-либо знаков препинания, например, 1

7. (4 балла) Выбери числа, у которых есть все указанные свойства: делится на 4 и на 5, двузначное, натуральное, чётное.
8. (5 баллов) Укажи верный пункт. В линейном алгоритме:
9. (5 баллов) Сколько букв «л» в данном слове?
В ответе запиши только число, без каких-либо знаков препинания, например, 1

10. (5 баллов) Выполни алгоритмы и запиши наименьший результат выполнения заданных алгоритмов. В ответе запиши только число, без каких-либо знаков препинания, например, 10

Рекомендуемое время выполнения заданий − 60 минут.
1. (3 балла) К какой форме представления информации относится следующая информация:

2. (3 балла) Из каких основных устройств состоит компьютер?
3. (3 балла) Какое слово может быть зашифровано следующей комбинацией, если одинаковые буквы шифруются одинаковыми изображениями?

4. (4 балла) Соотнесите названия и изображения устройств:

В ответе укажите комбинацию из чисел и букв без пробелов и каких-либо знаков препинания, числа должны идти по порядку, например, 1а2б3в4г
5. (4 балла) Игорь хотел написать программу, которая переставляет символы в обратном порядке. Но немного ошибся в коде программы… И теперь программа работает так: последовательность символов ABCDE превращает в последовательность DBAEC. Какая последовательность символов будет выведена, если введены символы PORTO?
6. (4 балла) Разгадайте ребус и выберите правильное определение полученного информационного процесса:

7. (4 балла) Кирилл загадал некоторое трёхзначное число и дал подсказки своей сестре Алёне: «В этом числе не меньше двух цифр, которые меньше 6, и не меньше двух чётных цифр. Узнай это число, если я загадал максимально возможное из таких чисел».
Помогите Алёне ответить на вопрос брата.
В ответе укажите только число, без каких-либо знаков препинания, например, 100
8. (5 баллов) На одной улице в одном доме живут трое друзей. Один мальчик мечтает быть лётчиком, второй – водителем, а третий – машинистом. Их имена — Саша, Руслан и Фёдор. У мальчика, который хочет быть лётчиком, нет ни сестры, ни брата. Он самый младший среди друзей. Фёдор старше мальчика, который хочет стать водителем, и ходит с сестрой Саши в один кружок. Тогда мальчиков с желаниями быть лётчиком, водителем и машинистом зовут соответственно…

9. (5 баллов) К какой группе клавиш на клавиатуре можно отнести клавиши «Esc», «Enter», «Ctrl»?
10. (5 баллов) В современном русском языке стали очень распространены компьютерные жаргонизмы. Соотнесите жаргонизмы и их значения.

В ответе укажите комбинацию из чисел и букв без пробелов и каких-либо знаков препинания, числа должны идти по порядку, например, 1а2б3в4г5д6е
Рекомендуемое время выполнения заданий − 90 минут.
1. (3 балла) Какое из перечисленных слов может быть зашифровано в виде кода #@&%#, если одинаковые символы соответствуют одинаковым буквам?
2. (3 балла) Маша очень любит разгадывать анаграммы — головоломки, в которых переставляются буквы в словах. Помогите Маше расшифровать слова в анаграммах и выберите лишнее слово:
3. (3 балла) Если полный путь к файлу имеет вид D:\Music\my_song.mp3, то расширение этого файла …
4. (4 балла) Чему равно значение выражения 1 Кбайт + 8 бит в битах?
В ответе укажите только число, без каких-либо знаков препинания, например, 100
5. (4 балла) Соотнесите названия программ с их иконками.

В ответе укажите комбинацию из чисел и букв без пробелов и каких-либо знаков препинания, числа должны идти по порядку, например, 1а2б3в4г5д6е
6. (4 балла) Разгадайте ребус и выберите правильное определение полученного информационного процесса:

7. (4 балла) На торжественной линейке, посвящённой празднику Победы 9 Мая, одноклассники Рита, Федя, Лена, Катя и Андрей стоят в одной шеренге. Рита стоит после Лены. Федя стоит до Риты, но после Кати. Катя – до Лены, но она стоит не первой. Каким в шеренге стоит Андрей?
В ответе укажите только его номер в шеренге, без каких-либо знаков препинания, например, 1
8. (5 баллов) Часы с кукушкой каждый час произносят «ку-ку» столько раз, сколько показывает часовая стрелка. Сколько раз в течение любых подряд идущих 12 часов прозвучит «ку-ку»?

В ответе укажите только число, без каких-либо знаков препинания, например, 100
9. (5 баллов) Женя оставила послание своему однокласснику Андрею, в котором зашифровала некоторое слово:
146140138144133142143156158
Помоги Андрею найти все буквы и расставить их в правильном порядке так, чтобы получилось слово, связанное с информатикой, если из подсказок Женя оставила таблицу кодов:

В ответе укажите только полученное слово, без каких-либо знаков препинания, например, принтер
10. (5 баллов) Сколько различных двухбуквенных комбинаций можно образовать из шести букв следующего слова?
ЗАДАЧА
В ответе укажите только число, без каких-либо знаков препинания, например, 100
Рекомендуемое время выполнения заданий − 90 минут.
1. (3 балла) Продолжите ряд:

В ответе укажите только число, без каких-либо знаков препинания, например, 100
2. (3 балла) Выберите возможное правильное полное имя файла, если в нём хранится изображение.
3. (3 балла) Соотнесите иконки программ с расширениями файлов.

В ответе укажите комбинацию из чисел и букв без пробелов и каких-либо знаков препинания, числа должны идти по порядку, например, 1а2б3в4г
4. (4 балла) В школе на уроке информатики в 7 классе задали 4 задания. Кирилл хочет пойти гулять на улицу, но сначала нужно сделать домашнюю работу. Посмотрите на блок-схему алгоритма, по которому действует мальчик, и укажите, сколько раз будет проведена проверка условия «Все задания по информатике решены?».

В ответе укажите только число, без каких-либо знаков препинания, например, 100
5. (4 балла) Какая группа клавиш на клавиатуре помечена тем числом, которое вы получили в ответе задания №4?

6. (4 балла) Разгадайте ребус и выберите правильное определение полученного слова:

7. (4 балла) В таблице 5 Х 5 мальчики Сергей и Яша расставили числа от 1 до 25 так, что в каждой строке и каждом столбце числа упорядочены по возрастанию. При этом мальчики сделали это так, что значение суммы чисел по периметру таблицы наименьшее, которое могло получиться.
Найдите эту сумму.

В ответе укажите только число, без каких-либо знаков препинания, например, 100
8. (5 баллов) Соотнесите горячие клавиши с их назначением:

В ответе укажите комбинацию из чисел и букв без пробелов и каких-либо знаков препинания, числа должны идти по порядку, например, 1а2б3в4г5д
9. (5 баллов) Женя оставила послание своему однокласснику Андрею, в котором зашифровала некоторое слово:
1000110010000101100011001000111010000100
Помогите Андрею найти все буквы и расставить их в правильном порядке так, чтобы получилось слово, связанное с информатикой, если из подсказок Женя оставила таблицу кодов:

В ответе укажите только полученное слово без каких-либо знаков препинания, например, принтер
10. (5 баллов) Даниле дали три запечатанных конверта. В каждом лежит красный или белый лист бумаги, на котором написаны два утверждения. В одном конверте оба утверждения истинны, в другом – оба ложны, а в третьем – одно ложно и одно истинно. Вот эти утверждения:
Конверт №1:
1. Листок в этом конверте белый.
2. Во втором конверте листок красный.
Конверт №2:
1. В первом конверте листок белый.
2. В третьем конверте красный листок.
Конверт №3:
1. В этом конверте белый листок.
2. В первом конверте листок красный.
Данила должен сжечь конверт, в котором находится красный листок. Какой из конвертов он сожжёт?
Рекомендуемое время выполнения заданий − 90 минут.
Уважаемые учителя! Обратите, пожалуйста, внимание на то, что рисунок из задания 7 должен быть цветным! Просьба заранее распечатать цветную картинку, или иметь доступ к файлу в интернете, или же черно-белую копию разукрасить по условию задания! Иначе у учащихся не будет возможности сделать правильный выбор.
1. (3 балла) Отметьте расширения файлов, которые являются графическими форматами:
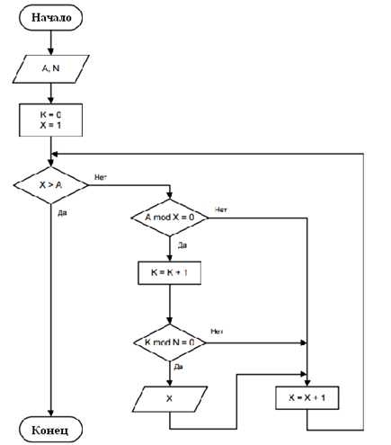
2. (3 балла) Дана блок-схема алгоритма. Какие значения переменной X будут на выходе алгоритма, если ввести А = 120 и N = 2?

В ответе укажите все числа по порядку строго через один пробел и без каких-либо знаков препинания, например, 0 1 2 3 10
3. (3 балла) Соотнесите значки функций MS Office Wordс их названиями.

В ответе укажите комбинацию из чисел и букв без пробелов и каких-либо знаков препинания, числа должны идти по порядку, например, 1а2б3в4г5д
4. (4 балла) Дана электронная таблица в режиме отображения формул:

Какое значение будет в ячейке D3 после вычислений?
В ответе укажите только число, без каких-либо знаков препинания, например, 100
5. (4 балла) Какая группа клавиш на клавиатуре помечена тем числом, которое вы получили вторым на выходе в ответе задания №2?

6. (4 балла) В каталоге «Фото» имеются файлы:

Необходимо переместить 5 файлов в каталог «Тексты». Подберите такую маску, чтобы переместить ровно 5 файлов.
7. (4 балла) По одному из столбцов таблицы была построена круговая диаграмма. Определите имя этого столбца.

8. (5 баллов) Соотнесите горячие клавиши с их назначением:

В ответе укажите комбинацию из чисел и букв без пробелов и каких-либо знаков препинания, числа должны идти по порядку, например, 1а2б3в4г5д6е7ж8з
9. (5 баллов) Один из самых известных способов кодирования текстовой информации − азбука Морзе. Алфавит этой азбуки состоит из четырех элементов: точка, тире, короткая пауза, длинная пауза. Каждая буква русского алфавита кодируется последовательностью точек и тире. Короткая пауза означает окончание передачи отдельной буквы текста, а длинная пауза − окончание передачи отдельного слова. После передачи последней буквы слова делается только длинная пауза, без короткой; после последней буквы сообщения никаких пауз не делается.

Пусть вам необходимо сохранить сообщение в памяти компьютера с помощью устройства, которое принимает сообщение "привет олимпиаде", передаваемое с помощью азбуки Морзе. Это устройство записывает каждый принятый элемент азбуки Морзе отдельно с помощью минимального и одинакового для всех элементов количества бит. Сколько бит информации займёт в памяти компьютера устройство для этого сообщения?
В ответе укажите только число, без каких-либо знаков препинания, например, 100
10. (5 баллов) Из списка доменов верхнего уровня, определяющих национальную принадлежность ресурса, отберите те из них, которые принадлежат странам Евросоюза:
Рекомендуемое время выполнения заданий − 90 минут.
Уважаемые учителя! Обратите, пожалуйста, внимание на то, что рисунок из задания 10 должен быть цветным! Просьба заранее распечатать цветную картинку, или иметь доступ к файлу в интернете, или же черно-белую копию разукрасить по условию задания! Иначе у учащихся не будет возможности сделать правильный выбор.
1. (3 балла) Выберите лишнее число в этой группе:
ВОСЕМЬДЕСЯТ ОДИН
СОРОК ДЕВЯТЬ
ДВАДЦАТЬ ЧЕТЫРЕ
ШЕСТНАДЦАТЬ
ШЕСТЬДЕСЯТ ЧЕТЫРЕ
В ответе укажите сумму цифр этого числа без каких-либо знаков препинания, например, 100
2. (3 балла) Расставьте в порядке возрастания следующие объемы информации:
В ответе укажите последовательность цифр – номеров записей без пробелов и каких-либо знаков препинания, например, 1234567
3. (3 балла) Соотнесите типы данных в Pascal с количеством выделяемой памяти и пояснением. Каждой цифре из первого столбца соответствует одна буква из второго столбца и одна буква из третьего столбца.

В ответе укажите комбинацию из чисел и букв без пробелов и каких-либо знаков препинания, числа должны идти по порядку, а буквы, расположенные под одной цифрой, в алфавитном порядке. Например, 1ад2бе3вж4гз
4. (4 балла) По данному фрагменту кода выясните, какими числами заполняется целочисленный массив А из десяти элементов:

Найдите сумму элементов массива с чётными индексами. В ответе укажите только число, без каких-либо знаков препинания, например, 100
5. (4 балла) Какая группа клавиш на клавиатуре помечена тем числом, которое вы получили в ответе задания №4?

6. (4 балла) У Миши на компьютере в каталоге «SCHOOL» имеются файлы:

Сначала он удалил из этого каталога файлы, соответствующие маске: *int*.*?m
Затем он решил перенести несколько файлов из «SCHOOL» в каталог «FAMILY» согласно фильтру: *?er*.*
В результате в каталоге «SCHOOL» осталось несколько файлов. Определите эти файлы.
7. (4 балла) Дана электронная таблица. В ячейках В1 и В2 заданы формулы. Ячейку В1 скопировали в ячейки С1 и D1, а ячейку В2 – в С2 и D2.

По данным диапазона A1:D2 была построена гистограмма. Вычислите значения ячеек и выберите номер той диаграммы, где изображена гистограмма, соответствующая данному диапазону.
8. (5 баллов) Выберите правильные значения законов алгебры логики:

В ответе укажите комбинацию из чисел и букв без пробелов и каких-либо знаков препинания, числа должны идти по порядку, например, 1а2б3в4г
9. (5 баллов) Пусть дан граф:

По данному графу построили таблицу связей объектов. Указанные в таблице значения являются весовыми коэффициентами связей объектов. При отсутствии связи между объектами ячейка таблицы остается пустой. Определите, какая таблица соответствует данному графу.
10. (5 баллов) Младший брат Миша на листе бумаги нарисовал три пересекающиеся геометрические фигуры: круг, треугольник и прямоугольник. Затем средний брат Никита дорисовал несколько разноцветных точек:

А старший брат Олег написал утверждения:
1. Все синие точки расположены за пределами круга или внутри треугольника.
2. Если точка расположена внутри треугольника, то она красная или зелёная.
3. Любая синяя точка не расположена внутри треугольника.
4. Если точка зелёная, то она расположена внутри треугольника или круга.
5. Если точка расположена и внутри круга, и внутри треугольника, следовательно, она не красная.
6. Не каждая синяя точка расположена внутри прямоугольника.
Отметьте те утверждения, которые являются истинными для приведённого рисунка.
Рекомендуемое время выполнения заданий − 90 минут.
1. (3 балла) Дана блок-схема алгоритма. Определите, чему будет равна переменная S на выходе из него, если на вход подали значения x = 24.
В ответе укажите только число, без каких-либо знаков препинания, например, 100

2. (3 балла) Определите однозначно имя файла, удовлетворяющее трём маскам:

Известно, что имя этого файла должно состоять из семи символов, а расширение из трёх.
В ответе укажите имя этого файла без пробелов между символами (семь символов и три, разделённые точкой), например, yyyyyyy.xxx
3. (3 балла) Пусть дан фрагмент электронной таблицы в режиме отображения формул.

В диапазон ячеек А3:А6 скопировали формулу из ячейки А2. Формулу из ячейки В2 скопировали в диапазон ячеек В3:В6. Определите, какие целые положительные числа были записаны в ячейки А1 и В1, если известно, что значения в ячейках В2:В7 следующие:

В ответе запишите без каких-либо знаков препинания через один пробел два числа, сначала число, записанное в ячейку А1, затем число, записанное в ячейку В1, например, 100 200
Если таких пар чисел несколько, выберите ту, сумма чисел в которой меньше 1500.
4. (4 балла) По данному фрагменту кода выясните, какое значение переменной Х было подано на входе, если известно, что в результате выполнения данного кода на выходе значение переменной Y равно 229345007.

В ответе укажите только число, без каких-либо знаков препинания, например, 100
5. (4 балла) Дано равенство, записанное в двоичной системе счисления
1110 ? 111 ? 11 ? 1 = 100
В нём вместо вопросительных знаков необходимо расставить арифметические операции сложения (+), вычитания (-), умножения (*) и деления (/). Известно, что любая операция используется в выражении не более одного раза и результатом выполнения любой операции является целое число. Определите эти арифметические операции и укажите в ответе их последовательность в порядке следования в равенстве.
6. (4 балла) У Миши на компьютере в каталоге «SCHOOL» имеются файлы:

Сначала он перенёс из этого каталога в каталог «FRIENDS» файлы, соответствующие маске: A?B*.*C?*
Затем он решил часть из перемещённых файлов перенести в каталог «FAMILY» согласно маске: *B?C*.??*D*
В результате в каталоге «FAMILY» оказалось несколько файлов. Определите эти файлы.
7. (4 балла) Миша создал электронную таблицу, в которой в ячейках диапазона A1:E1 могут содержаться только числа 0 или 1. В ячейку F1 мальчик записал формулу:
=ЕСЛИ(ИЛИ(И(A1=1;C1=1);И(B1=0;D1=0);И(C1=1;E1=0));1;0)
Сколько существует различных разрешенных комбинаций значений ячеек диапазона A1:E1, таких что в ячейке F1 Миша будет получать значение, равное 1?
В ответе укажите только число, без каких-либо знаков препинания, например, 100
8. (5 баллов) Андрей задумал натуральное число такое, что его запись в шестеричной системе счисления имеет ровно четыре значащих разряда.
Он оставил своей сестре Оле 3 подсказки:
1. Две первые цифры записи этого числа в шестеричной системе являются одинаковыми между собой, и две последние цифры также одинаковые между собой.
2. Две первые цифры отличны от последних двух цифр.
3. Число является полным квадратом, то есть оно является квадратом некоторого целого числа.
Помогите девочке определить задуманное её братом число.
В ответе укажите это четырёхзначное число в шестеричной системе счисления без каких-либо знаков препинания, например, 1234
9. (5 баллов) Алексей создал базу данных «Государства», в которой хранится информация о государствах Европы:
• название государства — поле Название;
• площадь (в кв. км) — поле Площадь;
• население (в тыс. чел.) — поле Население;
• государственный язык — поле Язык;
• форма государственного устройства — поле Правление;
Укажите, какой запрос необходимо написать мальчику, чтобы выяснить, все ли государства с населением больше 1 млн имеют площадь не менее 10 000 кв. км. При этом Алексей точно знает, что есть хотя бы одно государство с населением больше 1 млн человек. Если среди приведённых вариантов таких запросов несколько, выберете несколько вариантов.
10. (5 баллов) Кирилл решил потренироваться в сложных высказываниях. Он заявил:
«Сегодня либо пойдёт дождь, либо будет сухо. Завтра в школе будет контрольная по информатике. Если я сегодня пойду в школу в дождь, то я промокну и заболею. Если я заболею, то завтра не смогу писать контрольную. Если я завтра хорошо напишу контрольную, то послезавтра папа подарит мне новый монитор».
Через два дня Вова сделал ещё одно утверждение:
«Я позавчера ходил в школу, но сегодня не получил новый монитор».
Какие высказывания могут быть однозначно истинны, если все сказанное Вовой истинно.
Рекомендуемое время выполнения заданий − 90 минут.
1. (3 балла) Прямоугольную матрицу размером n x m заполнили целыми числами по алгоритму, представленному на блок-схеме. Какое количество отрицательных чисел получилось в матрице, если n = 12, а
m = 20?

В ответе укажите только число, без каких-либо знаков препинания, например, 100
2. (3 балла) Дано выражение: 22x + 33y = 44z где x, y, z – основания систем счисления, не превосходящие 16. Сколько существует различных комбинаций значений x, y, z, при которых выполняется равенство, если известно, что x < y < z?
3. (3 балла) Ответьте правильно на все вопросы:

В ответе укажите комбинацию из чисел и букв без пробелов и каких-либо знаков препинания, числа должны идти по порядку, например, 1а2б3в
4. (4 балла) Дан фрагмент электронной таблицы. Формулу из ячейки B2 последовательно скопировали в ячейки B3, B4, …, B11. Затем формулу из ячейки C3 последовательно скопировали в ячейки C4, C5, …, C10. После этого в ячейке C11 записали формулу: =СУММ(C3:C10). Какое значение получилось в ячейке С11?

В ответе укажите только число, без каких-либо знаков препинания, например, 100
5. (4 балла) Соотнесите названия групп клавиш, отмеченных числами на рисунке:

а) функциональные клавиши б) дополнительная клавиатура
в) клавиши управления курсором г) специальные клавиши
д) алфавитно-цифровые клавиши е) световые индикаторы
В ответе укажите комбинацию из чисел и букв без пробелов и каких-либо знаков препинания, числа должны идти по порядку, например, 1а2б3в4г5д6е
6. (4 балла) Укажите маску, позволяющую правильно объединить в одну группу все файлы, имя которых начинается на символ «С», а расширение состоит из двух символов.
7. (4 балла) Миша создал электронную таблицу, в которой в ячейках диапазона A1:E1 могут содержаться только числа 0 или 1. В ячейку F1 мальчик записал формулу:
=ЕСЛИ(ИЛИ(И(A1=0;C1=1);И(B1=1;D1=0);И(C1=0;E1=1));1;0)
Сколько существует различных разрешенных комбинаций значений ячеек диапазона A1:E1, таких что в ячейке F1 Миша будет получать значение, равное 1?
В ответе укажите только число, без каких-либо знаков препинания, например, 100
8. (5 баллов) Выберите правильные значения законов алгебры логики:

В ответе укажите комбинацию из чисел и букв без пробелов и каких-либо знаков препинания, числа должны идти по порядку, например, 1а2б3в4г
9. (5 баллов) Дан фрагмент программы обработки двумерного массива:

На вход ему подан массив А, приведенный ниже.

Какое минимальное значение должно быть у переменной K, чтобы по завершении выполнения фрагмента массив A содержал одинаковое количество единиц и нулей?
В ответе укажите только число, без каких-либо знаков препинания, например, 100
10. (5 баллов) У Фёдора Николаевича в машине стоит видеорегистратор. Он настроен таким образом, что записывает изображение как набор отдельных видеороликов длительностью 20 секунд. Если для записи очередного ролика на носителе информации недостаточно места, то стирается самый старый на данный момент ролик, а на его место записывается очередной ролик. При резком торможении видеорегистратор ставит пометку «не стирать» на три ролика: один до торможения, один после и один во время торможения. Такие ролики в дальнейшем не стираются, чтобы освободить место на новые ролики.
Определите минимальный размер носителя информации в ГБайтах для того, чтобы гарантированно выполнились следующие условия:
1. Камера имеет разрешение 1024 на 768 точек, с глубиной цвета 24 бита на точку, видео записывается как последовательность несжатых растровых изображений с частотой 24 кадра в секунду.
2. В течение дня Фёдор Николаевич резко тормозил 5 раз.
3. В конце дня, между началом записи очередного ролика и его стиранием, в связи с нехваткой места на очередной ролик, стало проходить ровно 15 минут.
4. Вся служебная информация, необходимая для работы видеорегистратора на носителе информации, занимает ровно 500 МБайт, и этот объём не зависит от количества записанных роликов.
В ответе запишите целое число Гбайт.
В ответе укажите только число, без каких-либо знаков препинания, например, 100