Рекомендуемое время выполнения заданий – 70 минут.
1. (3 балла) Укажи лишнее устройство.
2. (3 балла) Какие картинки должны быть на месте знаков «?» и «?»?

3. (3 балла) Подбери заплатки к коврикам и укажи, какая из них останется неиспользованной.

4. (4 балла) Разгадай ребус. Сосчитай количество гласных букв. В ответе укажи число без пробелов и каких-либо знаков препинания. Например, 8

5. (4 балла) Чтобы ученик был готов к уроку, нужно, чтобы на парте лежал альбом для рисования, карандаш, стиральная резинка. Посмотри на все предметы и напиши, какое максимальное количество детей может быть подготовлено к уроку полностью.

6. (4 балла) Лена после обеда решила прочитать книгу. Укажи правильный порядок действий. В ответе запиши комбинацию цифр без пробелов и каких-либо знаков препинания. Например, 12453
1) найти нужную книгу
2) прочесть сказку
3) поставить книгу на полку
4) закрыть книгу
5) открыть нужную страничку
7. (4 балла) Пройди по лабиринту, собери буквы по пути и составь из них слово, относящееся к информатике. В ответе запиши слово без пробелов и каких-либо знаков препинания. Например, диск

8. (5 баллов) Посмотри на картинку и скажи, сколько из перечисленных предметов являются для человека съедобными и растут на дереве.

В ответе укажи число без пробелов и каких-либо знаков препинания. Например, 1
9. (5 баллов) Какую корзину нужно взять, чтобы в ней были хотя бы 2 кубика, 1 кукла, но не было мячиков?
10. (5 баллов) Расположение какой точки описано неверно?

Рекомендуемое время выполнения заданий − 70 минут.
1. (3 балла) Реши эту задачу. Мама домой принесла 20 яблок, а груш принесла на 7 меньше. Сколько всего фруктов мама принесла домой? В ответе запиши только число без каких-либо знаков препинания, например, 8

2. (3 балла) Сколько пар носочков изображено на рисунке?

В ответе запиши только число без каких-либо знаков препинания, например, 3
3. (3 балла) Дана последовательность картинок. Укажи, какая картинка должна быть следующей в данной последовательности.

4. (4 балла) В классе 28 учеников. На праздник им подарили мягкие игрушки. 8 из них получили в подарок медведей, 9 получили бегемотов, а остальным подарили зайцев. Скольким ученикам подарили зайцев?
В ответе запиши только число без каких-либо знаков препинания, например, 8

5. (4 балла) Обезьянка потеряла не только банан, но и тень. Какая из этих теней принадлежит данной обезьянке?

6. (4 балла) Укажи объекты, которые имеют квадратную форму.
7. (4 балла) В коробке 14 конфет. Настя съела 6, Катя 3, а Нина все остальные. Сколько конфет съела Нина?
В ответе запиши только число без каких-либо знаков препинания, например, 5
8. (5 баллов) Помоги Лулу долететь до цветов по самому короткому пути. На пути собери все буквы по порядку. Какое слово ты получил?

9. (5 баллов) У Даши было 150 рублей. 90 она потратила на карандаши, 40 на тетрадку. Сколько денег осталось у Даши?

10. (5 баллов) Сколько букв «а» в данном слове?

В ответе запиши только число без каких-либо знаков препинания, например, 6
Рекомендуемое время выполнения заданий − 70 минут.
1. (3 балла) Реши эту задачу. Для приготовления обеда Мише понадобилось 24 кг картошки, свеклы в 3 раза меньше, а лука в 2 раза меньше, чем свеклы. Сколько килограмм лука потратил Миша?

В ответе запиши только число без каких-либо знаков препинания, например, 8
2. (3 балла) Укажи все неправильные тени данного изображения.

3. (3 балла) Укажи верное взаимное соответствие.


4. (4 балла) Кира вырезала из бумаги 5 квадратов, 7 треугольников, а кругов в 2 раза больше, чем треугольников. Сколько всего Кира вырезала фигур?

В ответе запиши только число без каких-либо знаков препинания, например, 7
5. (4 балла) Укажи истинные высказывания.
6. (4 балла) Сколько букв в данном слове?

В ответе запиши только число без каких-либо знаков препинания, например, 3
7. (4 балла) Бабушке привезли яблоки. Из них на компот бабушка взяла 3 килограмма, а на варенье в 3 раза больше. Сколько всего килограмм яблок привезли бабушке?

В ответе запиши только число без каких-либо знаков препинания, например, 3
8. (5 баллов) Выбери числа, у которых есть все указанные свойства: делится на 3, двузначное, натуральное, чётное.
9. (5 баллов) Кролик пошел в лес к мишке за морковкой. Весь поход у него занял 54 минуты. Из них 30 минут он потратил на дорогу туда и обратно, 5 минут думал, как остаться не замеченным Машей, затем тихо крался к грядке половину того времени, что потратил на дорогу. Сколько времени было у кролика, чтобы добыть морковку?

В ответе запиши только число без каких-либо знаков препинания, например, 4
10. (5 баллов) Сколько букв «т» в данном слове?

В ответе запиши только число без каких-либо знаков препинания, например, 3
Рекомендуемое время выполнения заданий − 70 минут.
1. (3 балла) Детям 15, 8, 5, 13 лет. Их имена Данила, Ксюша, Стас, Влад. Укажи, кто ходит в детский сад, если Данила старше Ксюши, и, если сложить возраст Данилы и Стаса, число будет делиться на 3.
2. (3 балла) Укажи все виды информации по способу получения.
3. (3 балла) Укажи верное взаимное соответствие.

4. (4 балла) Сколько букв в данном слове?

В ответе запиши только число без каких-либо знаков препинания, например, 3
5. (4 балла) Какие инструменты графического редактора Paint относятся к незамкнутым линиям?
6. (4 балла) Вадику подарили 24 игрушки (шарики, пирамидки, кубики). Известно, что кубиков в 7 раз меньше, чем пирамидок, и кубик не 1. Сколько шариков подарили Вадику?

В ответе запиши только число без каких-либо знаков препинания, например, 6
7. (4 балла) Выбери числа, у которых есть все указанные свойства: делится на 3 и на 5, двузначное, натуральное, чётное.
8. (5 баллов) Виталина заплатила за 6 одинаковых тетрадей по информатике 120 рублей. Сколько тетрадей по информатике она могла бы купить на 80 руб.?

В ответе запиши только число без каких-либо знаков препинания, например, 10
9. (5 баллов) Сколько букв «т» в данном слове?

В ответе запиши только число без каких-либо знаков препинания, например, 5
10. (5 баллов) Выполни алгоритм и запиши правильный результат выполнения алгоритма. В ответе укажи только число без каких-либо знаков препинания, например, 4

Рекомендуемое время выполнения заданий − 70 минут.
1. (3 балла) На двух книжных полках стояли книги по информатике, всего 12 штук. Укажи сколько книг стояло на первой полке, если после того, как с первой на вторую переставили столько книг, сколько стояло на второй, на обеих полках стало книг поровну.
2. (3 балла) Укажи все верные группы клавиш клавиатуры.
3. (3 балла) Укажи верное взаимное соответствие.

4. (4 балла) Сколько букв в данном слове?

В ответе запиши только число без каких-либо знаков препинания, например, 2
5. (4 балла) Какие инструменты графического редактора Paint относятся к замкнутым линиям?
6. (4 балла) 1% процент книги по информатике, по которой учится Никита, составляет 4 страницы. Сколько страниц осталось прочитать Никите, если он уже прочитал 30%?

В ответе запиши только число без каких-либо знаков препинания, например, 1
7. (4 балла) Выбери числа, у которых есть все указанные свойства: делится на 4 и на 5, двузначное, натуральное, чётное.
8. (5 баллов) За зиму Мишка с Машей съели 16 горшочков меда. Сколько горшочков меда заготовил Мишка, если у него осталось 20% всех его запасов?

В ответе запиши только число без каких-либо знаков препинания, например, 11
9. (5 баллов) Сколько букв «н» в данном словосочетании?

В ответе запиши только число без каких-либо знаков препинания, например, 6
10. (5 баллов) Выполни алгоритм и запиши правильный результат выполнения алгоритма. В ответе запиши только число без каких-либо знаков препинания, например, 4

Рекомендуемое время выполнения заданий − 90 минут.
Уважаемые учителя! Обратите, пожалуйста, внимание на то, что рисунок из задания 8 должен быть цветным! Просьба заранее распечатать цветную картинку, или иметь доступ к файлу в интернете, или же черно-белую копию разукрасить по условию задания! Иначе у учащихся не будет возможности сделать правильный выбор.
1. (3 балла) Кирилл вписал несколько чисел в таблицу. Потом одно из них стёр и предложил своему брату Олегу узнать, какое именно число он удалил. Помогите Олегу ответить на вопрос брата.

В ответе укажите только число без каких-либо знаков препинания, например, 100
2. (3 балла) Не отрывая руки, отметьте все точки на координатной плоскости. Изображение какого животного получится?

3. (3 балла) Выберите в каждой рамке лишнее устройство и запомните его номер.

В ответе укажите полученные цифры в порядке возрастания без каких-либо знаков препинания, например, 0147
4. (4 балла) Расшифруйте слово и выберите правильное определение для него:

5. (4 балла) Игорь хотел написать программу, которая переставляет символы в обратном порядке. Но немного ошибся в коде программы… И теперь программа работает так: последовательность символов ABCDE превращает в последовательность DBAEC. Какая последовательность символов будет выведена, если введены символы FOFOF?
6. (4 балла) Разгадайте ребус и выберите правильное определение полученного слова.

7. (4 балла) На летние каникулы после 5 класса задали прочитать книжки. Три мальчика: Костя, Женя и Сергей − стали обсуждать прочитанные книги. Женя прочитал все книги, которые прочитал Костя, а Сергей не прочёл ни одной книги из тех, которые прочитал Костя. Несколько книг прочитали Женя и Сергей вместе. Какая схема верна?
8. (5 баллов) Кирилл создал исполнитель Рисовальщик. За один ход исполнитель может сместиться на X координат по горизонтали и на Y координат по вертикали, рисуя непрерывную прямую линию, соединяющую начальное и конечное положение. X и Y – любые целые числа. От того, отрицательные они или положительные, зависит направление смещения исполнителя. Кирилл сформировал программу для исполнителя в виде графика смещения по ходам. На графике по оси
абсцисс расположены номера ходов, а по оси ординат – значения X и Y. Всего исполнитель Рисовальщик сделал 5 ходов.
Определите, сколько раз построенная линия пересекает саму себя.

В ответе укажите только число без каких-либо знаков препинания, например, 100
9. (5 баллов) Соотнесите изображение на ярлыке браузера с его названием.

В ответе укажите комбинацию из чисел и букв без пробелов и каких-либо знаков препинания, числа должны идти по порядку, например, 1а2б3в4г5д
10. (5 баллов) Найдите выход из лабиринта, затем таким же путём пройдите по лабиринту из букв и ответьте на вопрос, который там прочитаете.

Рекомендуемое время выполнения заданий − 90 минут.
Уважаемые учителя! Обратите, пожалуйста, внимание на то, что рисунки из заданий 4 и 8 должны быть цветными! Просьба заранее распечатать цветную картинку, или иметь доступ к файлу в интернете, или же черно-белую копию разукрасить по условию задания! Иначе у учащихся не будет возможности сделать правильный выбор.
1. (3 балла) Посмотрите на блок-схему алгоритма. Чему будет равно число S после выполнения этого алгоритма, если первоначально К = 0 и S = 0?
В ответе укажите только число без каких-либо знаков препинания, например, 100

2. (3 балла) Переведите числа из двоичной системы счисления в десятичную. Не отрывая руки, отметьте полученные точки на координатной плоскости. Изображение какого животного получится?

3. (3 балла) Закончите правильно все предложения:

В ответе укажите комбинацию из чисел и букв без пробелов и каких-либо знаков препинания, числа должны идти по порядку, например, 1а2б3в4г
4. (4 балла) Какой рисунок получится в результате выполнения следующей программы, написанной на языке PascalABC?

5. (4 балла) Какая комбинация, записанная в шестнадцатеричном коде, в цветовой системе RGB соответствует цвету, помеченному цифрой 3 в задании №4?

6. (4 балла) Найдите в лабиринте букв слова, связанные с информатикой и компьютером. Из оставшихся букв составьте ещё одно слово и выберите для него правильное определение.

7. (4 балла) Разгадайте ребус и выберите правильное определение полученного слова - жаргона.

8. (5 баллов) Кирилл создал исполнитель Рисовальщик. За один ход исполнитель может сместиться на X координат по горизонтали и на Y координат по вертикали, рисуя непрерывную прямую линию, соединяющую начальное и конечное положение. X и Y – любые целые числа. От того, отрицательные они или положительные, зависит направление смещения исполнителя. Кирилл сформировал программу для исполнителя в виде графика смещения по ходам. На графике по оси
абсцисс расположены номера ходов, а по оси ординат – значения X и Y. Всего исполнитель Рисовальщик сделал 20 ходов.
Определите, сколько раз построенная линия пересекает саму себя.

В ответе укажите только число без каких-либо знаков препинания, например, 100
9. (5 баллов) Решите уравнение: 11102 + Х = 1110012.
Ответ дайте в системе счисления с основанием 4.
В ответе укажите только число без каких-либо знаков препинания, например, 100
10. (5 баллов) В магазине проводится ревизия остатков мобильных товаров. Получилась следующая таблица:

Определите минимальное значение Х, такое, что если применить к этой таблице фильтр:
(Цена < 30*Х) И (Количество >= Х),
то будет не менее двух строк, соответствующих фильтру, и их сортировка по возрастанию значений столбца «Артикул» приведёт к тому, что значения в столбце «Количество» окажутся отсортированы по убыванию. Найдите и запишите в ответе это число.
В ответе укажите только число без каких-либо знаков препинания, например, 100
Рекомендуемое время выполнения заданий − 90 минут.
Уважаемые учителя! Обратите, пожалуйста, внимание на то, что рисунки из заданий 4 и 8 должны быть цветными! Просьба заранее распечатать цветную картинку, или иметь доступ к файлу в интернете, или же черно-белую копию разукрасить по условию задания! Иначе у учащихся не будет возможности сделать правильный выбор.
1. (3 балла) Посмотрите на блок-схему алгоритма. Чему будет равно число S после выполнения этого алгоритма, если первоначально К = 0 и S = 0?
В ответе укажите только число без каких-либо знаков препинания, например, 100

2. (3 балла) Переведите числа из восьмеричной системы счисления в десятичную. Не отрывая руки, отметьте полученные точки на координатной плоскости. Изображение какого животного получится?

3. (3 балла) Ответьте на вопросы и закончите правильно все предложения:

В ответе укажите комбинацию из чисел и букв без пробелов и каких-либо знаков препинания, числа должны идти по порядку, например, 1а2б3в4г
4. (4 балла) Какой рисунок получится в результате выполнения следующей программы, написанной на языке PascalABC?

5. (4 балла) Какая комбинация, записанная в шестнадцатеричном коде, в цветовой системе RGB соответствует цвету, помеченному цифрой 2 в задании №4?

6. (4 балла) Пусть высказывание A – точка принадлежит ромбу, B – точка принадлежит кругу, C – точка принадлежит прямоугольнику. Какое высказывание истинно для всех точек выделенной на рисунке области?

7. (4 балла) Разгадайте ребус и выберите правильное определение полученного слова - жаргона.

8. (5 баллов) Одним из простых способов кодирования является замена одного символа другим или комбинацией символов. Пусть символы текста закодированы кружками, разделенными на несколько секторов одинакового размера, но, возможно, разного цвета. Известно, что коды двух соседних символов отличаются цветом только одного сектора. Также известно, что после появления в коде очередного символа сектора такого цвета, который не использовался для предыдущих символов, в коде каждого последующего символа появляется еще один сектор такого же цвета, прилежащий к предыдущему по часовой стрелке, пока все сектора не заполнятся этим цветом.

Расшифруйте следующую фразу:

В ответе напишите точную полную фразу, включая пробелы и знаки препинания.
9. (5 баллов) Решите уравнение: (1112 + Х) * (100102 / 1102) = 1100002.
Ответ дайте в системе счисления с основанием 8.
В ответе укажите только число без каких-либо знаков препинания, например, 100
10. (5 баллов) В магазине проводится ревизия остатков непродовольственных товаров. Получилась следующая таблица:

Определите минимальное значение Х, такое, что если применить к этой таблице фильтр:
(Цена < 30*Х) И (Количество >= Х),
то будет не менее двух строк, соответствующих фильтру, и их сортировка по возрастанию значений столбца «Артикул» приведёт к тому, что значения в столбце «Количество» окажутся отсортированы по убыванию. Найдите и запишите в ответе это число.
В ответе укажите только число без каких-либо знаков препинания, например, 100
Рекомендуемое время выполнения заданий − 90 минут.
Уважаемые учителя! Обратите, пожалуйста, внимание на то, что рисунки из заданий 2, 4 и 8 должны быть цветными! Просьба заранее распечатать цветную картинку, или иметь доступ к файлу в интернете, или же черно-белую копию разукрасить по условию задания! Иначе у учащихся не будет возможности сделать правильный выбор.
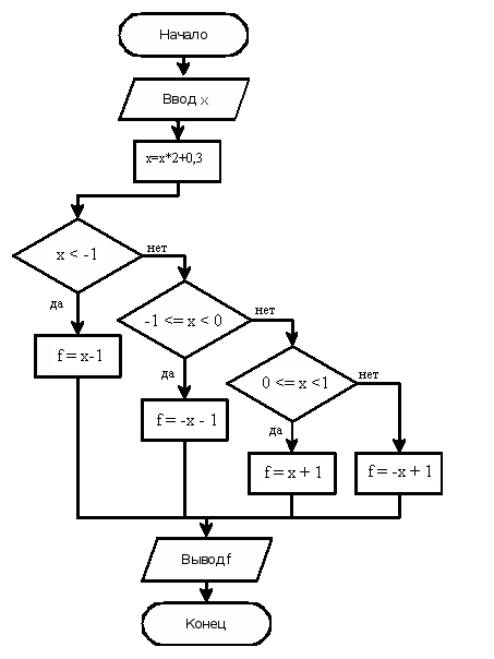
1. (3 балла) Посмотрите на блок-схему алгоритма. Чему будет равно число f после выполнения этого алгоритма, если первоначально
x = - 0,4?

В ответе укажите только число без каких-либо знаков препинания, например, 100
Если в ответе получится дробное число, то запишите его без пробелов, отделяя целую часть от дробной запятой, например, 1,1
Если число получится отрицательное, то между знаком минус и числом не ставьте пробел. Например, -1,1
2. (3 балла) Переведите числа из двоичной системы счисления в десятичную. Не отрывая руки, отметьте полученные точки на координатной плоскости, причём те числа, которые отмечены хроматическими цветами, необходимо отмечать со знаком «-». Изображение какого животного получится?

3. (3 балла) Ответьте на вопросы и закончите правильно все предложения:

В ответе укажите комбинацию из чисел и букв без пробелов и каких-либо знаков препинания, числа должны идти по порядку, например, 1а2б3в4г
4. (4 балла) В результате выполнения следующей программы, написанной на языке PascalABC, должен получится рисунок снеговика. Какие координаты должны иметь пуговицы номер 1 и 5, если пуговицы в средней и нижней частях снеговика находятся на одинаковом расстоянии друг от друга (для каждой части снеговика своё расстояние)?



Найдите сумму всех полученных координат. В ответе укажите только число без каких-либо знаков препинания, например, 100
5. (4 балла) Какая комбинация, записанная в шестнадцатеричном коде, в цветовой системе RGB соответствует цвету пуговиц 5 и 6 в задании №4?

6. (4 балла) Пусть высказывание A – точка принадлежит ромбу, B – точка принадлежит кругу, C – точка принадлежит прямоугольнику. Какое высказывание истинно для всех точек выделенной на рисунке области?

7. (4 балла) Разгадайте ребус и выберите правильное определение полученного слова - жаргона.

8. (5 баллов) Одним из простых способов кодирования является замена одного символа другим или комбинацией символов. Пусть символы текста закодированы кружками, разделенными на несколько секторов одинакового размера, но, возможно, разного цвета. Известно, что коды двух соседних символов отличаются цветом только одного сектора. Также известно, что после появления в коде очередного символа сектора такого цвета, который не использовался для предыдущих символов, в коде каждого последующего символа появляется еще один сектор такого же цвета, прилежащий к предыдущему по часовой стрелке, пока все сектора не заполнятся этим цветом.

Расшифруйте следующую фразу:

В ответе напишите точную полную фразу, включая пробелы и знаки препинания.
9. (5 баллов) Решите уравнение: (1000102 / 100012) * ( Х112) = 100002.
Ответ дайте в системе счисления с основанием 2.
В ответе укажите только число без каких-либо знаков препинания, например, 100
10. (5 баллов) Разгадайте арифметический курьёз, если B, C, D – три подряд идущие цифры.

В ответе укажите сумму цифр Х и F.
В ответе укажите только число без каких-либо знаков препинания, например, 100
Рекомендуемое время выполнения заданий − 90 минут.
Уважаемые учителя! Обратите, пожалуйста, внимание на то, что рисунки из заданий 2, 5, 6 и 8 должны быть цветными! Просьба заранее распечатать цветную картинку, или иметь доступ к файлу в интернете, или же черно-белую копию разукрасить по условию задания! Иначе у учащихся не будет возможности сделать правильный выбор.
1. (3 балла) Посмотрите на блок-схему алгоритма. Чему будет равно выражение А[1] + A[10] + 12 после выполнения этого алгоритма, если массив А объявлен на 10 элементов?
В ответе укажите только число без каких-либо знаков препинания, например, 100

2. (3 балла) Переведите числа из восьмеричной системы счисления в десятичную. Не отрывая руки, отметьте полученные точки на координатной плоскости, причём те числа, которые отмечены ахроматическими цветами, необходимо отмечать со знаком «-». Изображение какого животного получится?

3. (3 балла) Ответьте на все вопросы правильно:

В ответе укажите комбинацию из чисел и букв без пробелов и каких-либо знаков препинания, числа должны идти по порядку, например, 1а2б3в4г
4. (4 балла) Что будет выведено на экран в результате выполнения следующей программы, написанной на языке PascalABC, если ввести k равное 8?

В ответе укажите только число без каких-либо знаков препинания, например, 100
5. (4 балла) Какая комбинация в цветовой системе CMYK соответствует цвету, отмеченному номером 3?

6. (4 балла) Кирилл создал исполнитель Рисовальщик. За один ход исполнитель может сместиться на X координат по горизонтали и на Y координат по вертикали, рисуя непрерывную прямую линию, соединяющую начальное и конечное положение. X и Y – любые целые числа. От того, отрицательные они или положительные зависит направление смещения исполнителя. Кирилл сформировал программу для исполнителя в виде графика смещения по ходам. На графике по оси
абсцисс расположены номера ходов, а по оси ординат – значения X и Y. Всего исполнитель Рисовальщик сделал 10 ходов.
Определите, сколько раз построенная линия пересекает саму себя.

В ответе укажите только число без каких-либо знаков препинания, например, 100
7. (4 балла) Разгадайте ребус и выберите правильное определение полученного слова - жаргонизма.

8. (5 баллов) Одним из простых способов кодирования является замена одного символа другим или комбинацией символов. Пусть символы текста закодированы кружками, разделенными на несколько секторов одинакового размера, но возможно разного цвета. Известно, что коды двух соседних символов отличаются цветом только одного сектора. Также известно, что после появления в коде очередного символа сектора, такого цвета, который не использовался для предыдущих символов, в коде каждого последующего символа появляется еще один сектор такого же цвета, прилежащий к предыдущему по часовой стрелке пока все сектора не заполнятся этим цветом.

Расшифруйте следующую фразу и выберите правильное определение полученного слова.

9. (5 баллов) Пусть число А = DD16 и число B = 3378. Найдите число С, удовлетворяющее неравенству А < C < B.
В ответе укажите только число в восьмеричной системе счисления без каких-либо знаков препинания, например, 100
10. (5 баллов) На рисунке изображена схема дорог, связывающих города А, Б, В, Г, Д, Е, Ж, И, К, Л. По каждой дороге можно двигаться только в одном направлении, указанном стрелкой. Сколько существует различных путей из города А в город Л?

В ответе укажите только число без каких-либо знаков препинания, например, 100
Рекомендуемое время выполнения заданий − 90 минут.
Уважаемые учителя! Обратите, пожалуйста, внимание на то, что рисунки из заданий 5, 6 и 8 должны быть цветными! Просьба заранее распечатать цветную картинку, или иметь доступ к файлу в интернете, или же черно-белую копию разукрасить по условию задания! Иначе у учащихся не будет возможности сделать правильный выбор.
1. (3 балла) Посмотрите на блок-схему алгоритма. Чему будет равна переменная SA после выполнения этого алгоритма?
В ответе укажите только число без каких-либо знаков препинания, например, 100

2. (3 балла) Переведите числа, записанные в двоичном восьмиразрядном дополнительном коде, в десятичную систему счисления. Не отрывая руки, отметьте полученные точки на координатной плоскости. Изображение какого животного получится?

3. (3 балла) Ответьте на все вопросы правильно:

В ответе укажите комбинацию из чисел и букв без пробелов и каких-либо знаков препинания, числа должны идти по порядку, например, 1а2б3в4г
4. (4 балла) Что будет выведено на экран в результате выполнения следующей программы, написанной на языке PascalABC, если ввести х равное 3?

В ответе укажите только число без каких-либо знаков препинания, например, 100
5. (4 балла) Какая комбинация в цветовой системе CMYK соответствует цвету, отмеченному номером 4?

6. (4 балла) Кирилл создал исполнитель Рисовальщик. За один ход исполнитель может сместиться на X координат по горизонтали и на Y координат по вертикали, рисуя непрерывную прямую линию, соединяющую начальное и конечное положение. X и Y – любые целые числа. От того, отрицательные они или положительные, зависит направление смещения исполнителя. Кирилл сформировал программу для исполнителя в виде графика смещения по ходам. На графике по оси
абсцисс расположены номера ходов, а по оси ординат – значения X и Y. Всего исполнитель Рисовальщик сделал 14 ходов.
Определите, сколько раз построенная линия пересекает саму себя.

В ответе укажите только число без каких-либо знаков препинания, например, 100
7. (4 балла) Разгадайте ребус и выберите правильное определение полученного жаргонизма.

8. (5 баллов) Одним из простых способов кодирования является замена одного символа другим или комбинацией символов. Пусть символы текста закодированы кружками, разделенными на несколько секторов одинакового размера, но, возможно, разного цвета. Известно, что коды двух соседних символов отличаются цветом только одного сектора. Также известно, что после появления в коде очередного символа сектора такого цвета, который не использовался для предыдущих символов, в коде каждого последующего символа появляется еще один сектор такого же цвета, прилежащий к предыдущему по часовой стрелке, пока все сектора не заполнятся этим цветом.

Расшифруйте следующую фразу и выберите правильное пояснение полученного выражения.

9. (5 баллов) Пусть число А = DD316 и число B = 67318. Найдите количество чисел С, удовлетворяющих неравенству А < C < B.
В ответе укажите только количество в восьмеричной системе счисления без каких-либо знаков препинания, например, 100
10. (5 баллов) Дан фрагмент таблицы истинности для выражения F:

Укажите максимально возможное число различных строк полной таблицы истинности этого выражения, в которых значение х1 не совпадает с F.
В ответе укажите только число без каких-либо знаков препинания, например, 100